PCOMP (Layered Composite Element Property)

Description

The PCOMP entry defines the properties of an n-ply composite material laminate.

Format

1 2 3 4 5 6 7 8 9 10
PCOMP PID Z0 optional optional SB optional FT optional TREF optional optional LAM optional optional
optional MID1 optional T1 optional THETA1 MID2 T2 THETA2
MID3 T3 THETA3 -etc.-

Example

PCOMP 190 -0.256 2500.0 TSAI
200 0.065 0.0 210 0.04 45.0
220 0.03 60.0
Field Definition Type Default
PID Property identification number. Integer > 0 Required
Z0 Distance from the reference plane to the bottom surface. Real -1/2 element thickness
SB Allowable shear stress of the bonding material (allowable interlaminar shear stress). The SB parameter is required if failure index is desired. Real > 0.0
FT Failure theory. The following theories are allowed; if blank, no failure calculation is performed.

HILL for the Hill theory

HOFF for the Hoffman theory

TSAI for the Tsai-Wu theory

STRESS for the maximum stress theory

STRAIN for the maximum strain theory

MCT for Multicontinuum theory

Character or blank
TREF Reference temperature. See Remark 3. Real 0.0
LAM Laminate option. If LAM = SYM, only plies on one side of the element centerline are specified. The plies are numbered starting with 1 for the bottom layer. If an odd number of plies is desired with LAM = SYM then the center ply thickness (Ti) should be half the actual thickness. Character or blank If blank, all plies must be specified
MIDi Material ID of the various plies. The plies are identified by serially numbering them from 1 at the bottom layer. The MID’s must refer to MAT1 or MAT8 Bulk Data entries. See Remark 6. Integer > 0 MID1 required; see Remark 1
Ti Thicknesses of various plies. See Remark 1. Real or blank T1 required
THETAi Orientation angle of the longitudinal direction of each ply with the material axis of the element. (If the material angle on the element connection entry is 0.0, the material axis and side 1-2 of the element coincide.) The plies are numbered serially starting with 1 at the bottom layer. The bottom layer is defined as the surface with the largest minus Z value in the element coordinate system. Real or blank 0.0

Remarks

  1. The default for MID2, …, MIDn is the last defined MIDi. In the example above, MID1 is the default for MID2, MID3, and MID4. The same logic applies to Ti.
  2. At least one of the four values (MIDi, Ti, THETAi) must be present for a ply to exist. The minimum number of plies is one.
  3. TREF given on the PCOMP entry will be used for all plies of the element; it will override values supplied on material entries for individual plies. If the PCOMP references temperature dependent material properties, then TREF given on the PCOMP will be used as the temperature to determine material properties. TEMPERATURE Case Control commands are ignored for deriving the equivalent PSHELL and MAT1 entries used to describe the composite element.
  4. The failure index for the boundary material is calculated as Failure Index = max(τ1z , τ1z). The Failure Index for the ply is calculated as shown in the following table.
    Theory Failure Index Remarks
    Hill
    Orthotropic materials with equal strengths in tension and compression.
    Hoffman
    Orthotropic materials under a general state of plane stress with unequal tensile and compressive strengths.
    Tsai-Wu
    Orthotropic materials under a general state of plane stress with unequal tensile and compressive strengths.
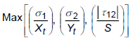
    Max Stress
    None
    Max Strain
    None
  5. The STRENGTHRATIO model parameter is used to request the output of the Tsai Strength Ratio (R) instead of Failure Index. (See the Parameters section for more information on STRENGTHRATIO.)
  6. This entry may be used to define a layered shell element. The MIDi fields may only reference MAT1 or MAT8 entries.