层压板

“层压板”选项允许用户定义复合层压板属性。在“理想化”对话框中单击“新建层压板”按钮;或者,在模型树的“复合层\层压板”上单击鼠标右键,然后从关联菜单选择“新建”。将打开“层压板”对话框。

层创建技术

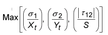
层压板对话框示例