Turbulence
The Turbulence dialog is for enabling or disabling turbulence, selecting the turbulence model and for modifying turbulence model parameters.
Select Laminar to simulate laminar flow.
Select Turbulent (the default) to simulate turbulent flow. Most engineering flows are turbulent.
If it is unclear if an analysis should be run as laminar or turbulent, try laminar first. If the flow is actually turbulent, the analysis will typically diverge within the first ten to fifteen iterations. Change the setting Turbulent, and start again from iteration 0.
Turb. model
The following table lists the available turbulence models, their suggested uses, and some additional information:
Turbulence Model | Recommended Uses | Notes |
k-epsilon | Works well for most applications | - General purpose turbulence model
- Default model
|
SST k-omega | - External aerodynamics
- Separated or detached flows
- Flows with adverse pressure gradients
| - SST simulates turbulence all the way to the wall, instead of using wall functions.
- The mesh needs to be very fine in the boundary layer region.
- You can add up to 10 layers with the Wall Layers dialog.
- See notes below for additional information.
|
SST k-omega SAS (Scale Adaptive Simulation) | Flows with transient turbulence structures such as: - Vortex shedding
- Variable wake structures
|
- You can run steady state simulations with SST k-omega SAS. The turbulent structures cannot be animated, but this model predicts their formation and shape better than a steady-state k-epsilon simulation.
- The mesh needs to be very fine in the boundary layer region. You can add up to 10 layers with the Wall Layers dialog.
|
SST k-omega RC (Smirnov-Menter) | High curvature flows such as those commonly found in cyclone separators. |
- This is the Menter two-equation model with Rotation and Curvature (RC) correction.
- It is computationally intensive, and requires a fine mesh.
- In some cases, this model may require several thousand iterations for convergence.
|
SST k-omega RC (Hellsten) | - Certain airfoils including the NACA0012 and Coanda airfoil.
- Small, high speed rotating devices
- Highly curved flows and over convex surfaces
|
- This is the Menter SST two-equation model with Hellsten's Simplified Rotation/Curvature correction
- Shows good flow prediction over convex surfaces where the detachment point may be difficult to predict with other turbulence models.
|
SST k-omega DES (Detached Eddy Simulation) | Separated and high Reynolds number external aerodynamics flows. |
- This is a hybrid between SST k-omega and large eddy simulation (LES) models.
- It is computationally intensive and is sensitive to the mesh distribution.
- It works best with a uniform mesh distribution.
|
RNG | Reattachment point for separate flows, particularly for flow over a backward-facing step. | - More computational intensive, but sometimes slightly more accurate than the k-epsilon model.
- Often recommended to start with the k-epsilon model and switch to RNG after the flow is mostly converged.
|
Low Re k-epsilon | - Low speed, turbulent flows, with a Reynolds number between 1,500 and 5,000.
- Flows with both low and high speed regions.
- Pipe flows and external aerodynamic flows that transition from laminar to turbulent.
- High-speed jets entering a large room of with slow-moving flow.
- Buoyancy-driven (natural convection) flows that are barely turbulent.
| - This model does not use wall functions. Use at least 5 Wall Layers.
- May be less stable than k-epsilon.
- Requires more iterations to converge than with k-epsilon.
- Generally produces the same solution for high speed flows as k-epsilon.
- Produce similar results to the Laminar selection for laminar flows.
|
Mixing Length | Some internal natural convection analyses | - In some cases, reduces run times and improves accuracy for internal buoyancy-driven flows.
- Designed for gas flows (such as air), and does not produce good results for liquid flows.
|
Eddy Viscosity | Lower speed turbulent flows and some buoyancy flows. | - Less rigorous than the k-epsilon model, and more numerically stable.
- Useful if divergence occurs with one of the other models.
|
Additional notes about SST k-omega
The SST models are a hybrid of the Wilcox k-omega and a k-epsilon model variant. The benefits of this model include the following:
- The SST models exhibit less sensitivity to free stream conditions (flow outside the boundary layer) than many other turbulence models.
- Using a shear stress limiter, these models avoid a build-up of excessive turbulent kinetic energy near stagnation points.
- The SST models provide a platform for additional extensions such as SAS and laminar-turbulence transition.
- When a wall roughness value is prescribed with the material definition, the SST models account for wall roughness effects. To simulate wall roughness, disable Intelligent wall formulation by clicking the Advanced... button on the Turbulence dialog, and unchecking Intelligent wall formulation.
Auto Startup
Auto Startup controls the Automatic Turbulent Start-Up (ATSU) algorithm.
This algorithm goes through a number of steps to obtain turbulent flow solutions. The algorithm starts by running 10 iterations using a constant eddy viscosity model, so the k and epsilon equations are not solved. With this solution as an initial guess, the two-equation turbulence model is started. At iteration 10, a spike in the convergence monitoring data will appear for the k and epsilon equations. Other steps are then taken to gradually arrive at the converged result. These steps may involve spikes in the convergence monitoring data at iterations 10, 20 and 50. After 50 iterations, the ATSU is turned off automatically.
If Lock On is selected, the ATSU stays on during the entire analysis until the user manually clicks it off. If there are convergence difficulties after iteration 50 (divergence within 10 iterations), then you should enable Lock On. If the ATSU is turned on, you should run at least 200 iterations to ensure convergence of the turbulent flow solution.
If Extend is selected, an extended version of the ATSU is activated. This method is useful for difficult analyses, particularly compressible analyses. The minimum number of iterations that should be run with this algorithm is 400.
Turb/Laminar Ratio
The Turb/Laminar Ratio is the ratio of the effective (turbulent) viscosity to the laminar value. It is used to estimate the effective viscosity at the beginning of the turbulent flow analysis. In most turbulent flow analyses, the effective viscosity is 2-3 orders of magnitude larger than the laminar value. The default value is generally suitable for most flows.
For the Mixing Length model, the turb/lam ratio is the upper limit for the eddy viscosity. The free stream eddy viscosity maxes out at this value.
For the eddy viscosity model, this is the eddy viscosity, even if you change it on a restart now.
For all the other turbulence models (K-Epsilon, RNG, Low Re Number), the specified value is the starting point or initial value of the eddy viscosity.
It is often helpful to increase the Turb/Lam Ratio to 1000 or even 10,000 for flows that feature a small, high speed jet shooting into a large plenum. Such flows are typically momentum-driven, and benefit from a larger turbulent viscosity at the beginning of the calculation.
Advanced Parameters
Several additional parameters that "tune" the turbulence model are available in the Advanced... dialog. Most of the parameters are described in the turbulent flow Theoretical description, and should generally not be modified unless you are very familiar with two equation turbulence theory. The following parameters, however, can be modified with a little more flexibility:
Turbulence Intensity
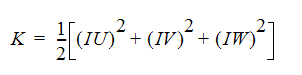
The Turbulence Intensity Factor controls the amount of turbulent kinetic energy in the inlet stream. Its default value is 0.05 and should rarely exceed 0.5. The expression used to calculate turbulent kinetic energy at the inlet is:

I is the Intensity Factor and u, v and w are velocity components.
Intelligent Wall Formulation is a scalable wall formulation that enhances stability and accuracy with the SST turbulence models. It reduces the sensitivity of results to the level of mesh refinement along the wall.
Intelligent Wall Formulation is enabled by default for the SST k-omega models.
Additionally, Intelligent Wall Formulation can be enabled for k-epsilon. It has been shown to shown to work well in the following scenarios:
- With Mesh Adaptation, Intelligent Wall Formulation with k-epsilon does not exhibit performance degradation as the mesh is refined.
- Intelligent Wall Formulation with k-epsilon removes the sensitivity to the Y+ value dropping below the sub-layer (<35).
- Intelligent Wall Formulation with k-epsilon has been shown to provide accuracy and convergence rate improvements for some simulations.
Related Topics
Advanced settings
Mathematical foundation