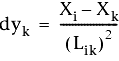
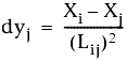
Změna souřadnic pro každé měření je vyjádřeno v následujících aproximacích Taylorovou řadou rovnice měření úhlů:
kde
- Lij = změřená délka úsečky IJ
- Lik = změřená délka úsečky IK
- Lik = změřená délka úsečky IK
- Xi, Yi = nejpravděpodobnější souřadnice bodu I
- Xj, Yj = nepravděpodobnější souřadnice bodu J
- Xk, Yk = nejpravděpodobnější souřadnice bodu K
V následujícím obrázku je znázorněna geometrie rovnice měření úhlů: