In Autodesk Civil 3D können Sie Werte aus der geometrischen Definition einer Ausrundung, aus TS-Informationen sowie der Objekt- und Augenhöhe berechnen.
Diese Werte werden aus empirischen Gleichungen abgeleitet und verwenden keine Entwurfsgeschwindigkeit.
Bei einer Kuppe werden Überhol- und Haltesichtweiten verwendet, da ein Kurvenscheitel die Sicht des Fahrers auf die Straße oder auf ein anderes Objekt behindern kann.
Überhol- und Haltesichtweiten werden dagegen nicht für eine Wanne verwendet, da kein Kurvenscheitel vorhanden ist, der die Sicht des Fahrers auf die Straße oder auf ein anderes Objekt behindern könnte. Bei Tageslicht und guten Lichtverhältnissen hat der Fahrer in einer Wanne volle Sicht auf die Straße. Bei Nacht jedoch kann der Fahrer nur so weit sehen, wie die Scheinwerfer reichen. Zum Entwerfen einer Wanne können Sie die Scheinwerfer-Sichtweite verwenden.
Sie können diese Eigenschaften in Autodesk Civil 3D 2021 mit dem Textkomponenten-Editor anzeigen. Klicken Sie im Projektbrowser auf die Registerkarte Einstellungen, erweitern Sie Längsschnitt
Beschriftungsstile
Bogen. Doppelklicken Sie auf den standardmäßigen Kuppen- und Wannenbeschriftungsstil. Klicken Sie auf die Registerkarte Layout. Wählen Sie unter dem Komponentennamen ein Element wie z. B. BVC aus. Klicken Sie im Textkomponenten-Editor auf den Dropdown-Pfeil unter Eigenschaften, um eine Liste der verfügbaren Eigenschaften anzuzeigen. Führen Sie einen Bildlauf nach unten durch, um Eigenschaften wie Scheinwerfer-Sichtweite, Überholsichtweite usw. zu prüfen.
Die Überholsichtweite ist die Sichtweite, die erforderlich ist, damit der Fahrer ein entgegenkommendes Fahrzeug sehen kann. Dieser Wert wird benötigt, um abzuschätzen, ob die Sichtweite eine Überholspur zulässt. Die Überholsichtweite wird häufig nicht in Kuppenentwürfen verwendet, da die Kurvenlänge, die zur Erfüllung der Überholsichtweite-Kriterien erforderlich wäre, in der Regel unzulässig ist.
Die Haltesichtweite, die häufig als Kriterium für die Kurvenlänge verwendet wird, ist die Sichtweite, die nötig ist, damit der Fahrer eine Gefahr auf der Straße rechtzeitig erkennt. In der Regel sind die Halte- und Überholsichtweiten durch gesetzliche Vorschriften definiert.
Mit den folgenden Gleichungen werden die Kuppenlängen mithilfe der Überhol- und Haltesichtweiten berechnet.
Dabei gilt:
L = Länge der Ausrundung in Fuß (oder Metern)
S = Überholsichtweite in Fuß (oder Metern)
A = Algebraische Differenz der Neigung in Prozent (%)
h1 = Augenhöhe des Betrachters über der Straßenoberfläche in Fuß (oder Metern)
h2 = Objekthöhe über der Straßenoberfläche in Fuß (oder Metern)
Die folgende Gleichung löst nach L auf, wenn S kleiner ist als L:

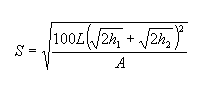
Die folgende Gleichung löst nach S auf, wenn S kleiner ist als L:

Die folgende Gleichung löst nach L auf, wenn S größer oder gleich L ist:

Die folgende Gleichung löst nach S auf, wenn S größer oder gleich L ist:

Nachts wird die Sichtweite durch die Reichweite der Scheinwerfer des Fahrzeugs definiert. In einer Wanne wird das Scheinwerferlicht durch die Straßenoberfläche abgefangen und damit seine Reichweite reduziert. Bei der Scheinwerfer-Sichtweite werden die Entfernung zwischen Oberkante des Scheinwerferstrahls und Fahrbahnbelag sowie der maximale Scheinwerfer-Winkel berücksichtigt, um die Kurvenlänge zu bestimmen. Die Augenhöhe des Fahrers wird dabei ebenso berücksichtigt.
Die folgenden Gleichungen für die Scheinwerfer-Sichtweite werden zum Erstellen von Wannen verwendet:
Dabei gilt:
A = Algebraische Differenz der Neigung in Prozent (%)
hd = Entfernung zwischen Scheinwerferstrahl und Fahrbahnbelag in Fuß (oder Metern)
L = Länge der Ausrundung in Fuß (oder Metern)
S = Überholsichtweite in Fuß (oder Metern)
Ø = Geschweifter Winkel des Scheinwerferstrahls von horizontaler Ebene aus (in der Regel 1 Grad)
Die folgende Gleichung löst nach L auf, wenn S kleiner ist als L:

Die folgende Gleichung löst nach S auf, wenn S kleiner ist als L:

Die folgende Gleichung löst nach L auf, wenn S größer oder gleich L ist:

Die folgende Gleichung löst nach S auf, wenn S größer oder gleich L ist:
