 
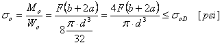
Biegespannung

Druck im Stab

Druck im Zapfen

Scherspannung
Scherspannung

Dabei gilt:
| F | Kraft [lb] | |
| σ 0 | Biegespannung [psi] | |
| σ 0D | Zulässige Biegespannung [psi] | |
| M 0 | Biegemoment [lb ft] | |
| W 0 | Widerstandsmoment der Biegung [in 3 ] | |
| τ | Scherspannung [psi] | |
| τ D | Zulässige Scherspannung [psi] | |
| d | Stiftdurchmesser [in] | |
| p 1 | Druck im Stab [psi] | |
| p 2 | Druck im Zapfen [psi] | |
| p 1D | Zulässiger Druck im Stab [psi] | |
| p 2D | Zulässiger Druck im Zapfen [psi] | |
| b | Stabbreite [in] | |
| a | Zapfenarmbreite [in] |