| 
 | Für jede Riemenscheibe gilt Folgendes: | 
| F 2 - F 1 + F p = 0 | |
| 
 | |
| 
 | |
| 
 | 
Für die antreibende Riemenscheibe gilt Folgendes:
 
| 
 | v ≤ v max | 
| 
 | f b ≤ f max | 
 
F c = mv 2
F Tmax = k 1 F p + F c
F 1 = F tmax
F 2 = F 1 - F p
Für einzelne angetriebene Riemenscheiben und Spannrollen gilt Folgendes:
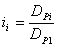
i - Index der Riemenscheibe
F Pi = P xi F p
 
 
 
F 1i = F 2i-1
F 2i = F 1i + F p i
Dabei gilt:
  für synchrone Rolle
 für synchrone Rolle 
  für Scheibe
 für Scheibe 
Für das gesamte Riemengetriebe
 
Die erforderliche Riemenspannung bei Installation wird wie folgt aus Kräften abgeleitet, die auf die Riemenscheibe wirken:
 
Beispiel einer Leistungsübertragung mit Spannrolle
 
| Antreibende Riemenscheibe | Spannrolle | Angetriebene Riemenscheibe | 
| P x1 = 1 | P x2 = 0 | P x3 = 1 | 
| 
 | 
 | F P3 = P x3 F p | 
| 
 | 
 | 
 | 
| 
 | 
 | 
 | 
| 
 | F 12 = F 21 | 
 | 
| 
 | F 22 = F 12 + F p2 = F 12 | 
 | 
| F c = m v 2 | 
 | 
 | 
| F Tmax = k 1 F p + F C | - | F 13 = F 22 | 
| F 11 = F Tmax | - | F 23 = F 13 + F p3 = F 11 | 
| F 21 = F 11 - F p | - | 
 | 
| 
 | - | - | 
Bedeutung der verwendeten Variablen:
| F p | Riemenzugkraft [N] | 
| F 1 | Riemenspannung an der Eingabeseite der jeweiligen Riemenscheibe [N] | 
| F 2 | Riemenspannung an der Ausgabeseite der jeweiligen Riemenscheibe [N] | 
| Z | Anzahl der Zähne der jeweiligen Riemenscheibe / Anzahl der Riemenzähne [-] | 
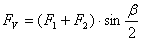
| β | Umspannungswinkel / Winkel der Zahnschräge [°] | 
| P | Zu übertragende Leistung [W] | 
| P R | Riemennennleistung für das jeweilige Getriebelayout [W] | 
| c L | Gebrauchsdauerkoeffizient [-] | 
| β | Umspannungswinkel [°] | 
| T | Auf die jeweilige Riemenscheibe einwirkendes Drehmoment [Nm] | 
| n | Geschwindigkeit der jeweiligen Riemenscheibe [U/min] | 
| D p | Teilkreisdurchmesser der Riemenscheibe [m] | 
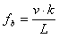
| v | Riemengeschwindigkeit [m/s] | 
| k | Anzahl der Riemenscheiben im Riemengetriebe [-] | 
| L | Teilriemenlänge [m] | 
| P | Zu übertragende Leistung [W] | 
| m | Spezifisches Riemengewicht für die jeweilige Breite [kg/m] | 
| k 1 | Zugkoeffizient des Riemens [-] | 
| F p | Riemenzugkraft [N] | 
| F c | Zentrifugalkraft [N] | 
| F t | Minimaler Riemeninstallationszug [N] | 
| P xi | Leistungsverhältnis der jeweiligen Riemenscheibe [-] | 
| D pi | Teilkreisdurchmesser der Riemenscheibe [m] | 
| i | Übertragungsverhältnis (Geschwindigkeitsverhältnis) der jeweiligen Riemenscheibe [-] | 
| T i | Auf die jeweilige Riemenscheibe einwirkendes Drehmoment [Nm] | 
| η | Wirkungsgrad [-] | 
| p b | Zahnkreisteilung [m] | 
| D | Nenndurchmesser der flachen Riemenscheibe [m] | 
| H | Riemenhöhe [m] | 
| h T | Riemenzahnhöhe [m] | 
| a | Teillinienversatz [m] |