 
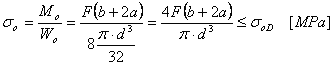
Biegespannung

Druck im Stab

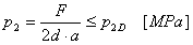
Druck im Zapfen

Scherspannung

Dabei gilt:
| F | Kraft [N] | |
| σ 0 | Biegespannung [MPa] | |
| σ 0D | Zulässige Biegespannung [MPa] | |
| M 0 | Biegemoment [N mm] | |
| W 0 | Widerstandsmoment der Biegung [mm 3 ] | |
| τ | Scherspannung [MPa] | |
| τ D | Zulässige Scherspannung [MPa] | |
| d | Stiftdurchmesser [mm] | |
| p 1 | Druck im Stab [MPa] | |
| p 2 | Druck im Zapfen [MPa] | |
| p 1D | Zulässiger Druck im Stab [MPa] | |
| p 2D | Zulässiger Druck im Zapfen [MPa] | |
| b | Stabbreite [mm] | |
| a | Zapfenarmbreite [mm] |