Verwenden Sie benutzerdefinierte Gleichungen, um anzugeben, wie die Abwicklung von Biegezonen in gefalteten Blechbauteilmodellen umgesetzt werden soll.

Benutzerdefinierte Gleichungen werden innerhalb einer benannten Abwicklungsregel definiert, die im Dialogfeld Stil- und Normen-Editor festgelegt wird.

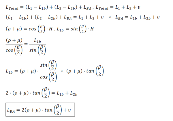
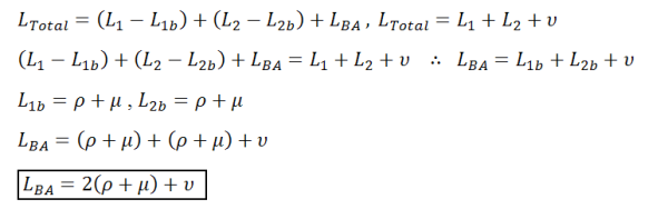
Verwenden Sie die Gleichung für den Biegungsausgleich, um die abgewickelte Gesamtlänge zu ermitteln:

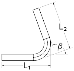
 . ist die abgewickelte Gesamtlänge.
. ist die abgewickelte Gesamtlänge.  . ist die Länge von der ersten Detailfläche bis zur virtuellen Schnittebenenlinie.
. ist die Länge von der ersten Detailfläche bis zur virtuellen Schnittebenenlinie.  . ist die Länge von der zweiten Detailfläche bis zur virtuellen Schnittebenenlinie.
. ist die Länge von der zweiten Detailfläche bis zur virtuellen Schnittebenenlinie.  . ist das Ergebnis der Biegetoleranzberechnung. Die Biegetoleranz wird in Inventor mithilfe der folgenden Gleichungen berechnet. Im Falle von Winkeln mit
. ist das Ergebnis der Biegetoleranzberechnung. Die Biegetoleranz wird in Inventor mithilfe der folgenden Gleichungen berechnet. Im Falle von Winkeln mit  verwendet Inventor die Gleichung
 verwendet Inventor die Gleichung  . Hierbei gilt:
. Hierbei gilt:  . ist der Biegungswinkel.
. ist der Biegungswinkel.  . ist die Länge der Biegetoleranz.
. ist die Länge der Biegetoleranz.  . ist der Innenradius der Biegefläche.
. ist der Innenradius der Biegefläche.  . ist die Blechstärke.
. ist die Blechstärke.  . ist das Ergebnis der Biegetoleranzberechnung.
. ist das Ergebnis der Biegetoleranzberechnung. Wenn Sie die ursprüngliche Gleichung erweitern, um die Ergebnisse der Biegetoleranzberechnung einzuschließen, hat dies folgende Auswirkungen:


Im Falle von Winkeln mit  wird die folgende Gleichung verwendet:
 wird die folgende Gleichung verwendet: 

Wenn Sie die ursprüngliche Gleichung erweitern, um die Ergebnisse der Biegetoleranzberechnung einzuschließen, hat dies folgende Auswirkungen:


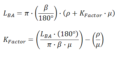
Nachdem die Biegetoleranz ermittelt ist, kann der KFaktor wie folgt abgeleitet werden:


Verwenden Sie die Gleichung für den Biegungsabzug, um die abgewickelte Gesamtlänge zu ermitteln:

 . ist die abgewickelte Gesamtlänge.
. ist die abgewickelte Gesamtlänge.  . ist die Länge von der ersten Detailfläche bis zur virtuellen Schnittebenenlinie.
. ist die Länge von der ersten Detailfläche bis zur virtuellen Schnittebenenlinie.  . ist die Länge von der zweiten Detailfläche bis zur virtuellen Schnittebenenlinie.
. ist die Länge von der zweiten Detailfläche bis zur virtuellen Schnittebenenlinie.  . ist das Ergebnis der Biegetoleranzberechnung.
. ist das Ergebnis der Biegetoleranzberechnung. Die Gleichung für den Biegungsabzug stellt eine Berechnungsmethode dar, die das genaue Gegenteil der Methode Biegungsausgleich ist.
Für den Biegungsabzug berechnet Inventor mithilfe der folgenden Gleichungen eine Biegetoleranz.
Für Winkel:


 ; dabei gilt:
; dabei gilt:  . ist der Biegungswinkel.
. ist der Biegungswinkel.  . ist die Länge der Biegetoleranz.
. ist die Länge der Biegetoleranz.  . ist der Innenradius der Biegefläche.
. ist der Innenradius der Biegefläche.  . ist die Blechstärke.
. ist die Blechstärke.  . ist das Ergebnis der Biegetoleranzberechnung.
. ist das Ergebnis der Biegetoleranzberechnung. Im Falle von Winkeln mit  wird folgende Gleichung verwendet:
 wird folgende Gleichung verwendet:  
 

 , um die abgewickelte Gesamtlänge zu ermitteln. Dabei gilt:
, um die abgewickelte Gesamtlänge zu ermitteln. Dabei gilt:  . ist die abgewickelte Gesamtlänge.
. ist die abgewickelte Gesamtlänge.  . ist die Länge der ersten Biegefläche.
. ist die Länge der ersten Biegefläche.  . ist die Länge der zweiten Biegefläche.
. ist die Länge der zweiten Biegefläche.  . ist das Ergebnis der Biegetoleranzberechnung.
. ist das Ergebnis der Biegetoleranzberechnung. Es wird eine definierte Gleichung zur direkten Auflösung der Biegetoleranz bereitgestellt. Der KFaktor kann anhand der folgenden Gleichung abgeleitet werden:


Beim Ermitteln der abgewickelten Gesamtlänge mithilfe des KFaktors wird die folgende Gleichung verwendet:

 . ist die abgewickelte Gesamtlänge.
. ist die abgewickelte Gesamtlänge.  . ist die Länge der ersten Biegefläche.
. ist die Länge der ersten Biegefläche.  . ist die Länge der zweiten Biegefläche.
. ist die Länge der zweiten Biegefläche.  . ist das Ergebnis der Biegetoleranzberechnung.
. ist das Ergebnis der Biegetoleranzberechnung. Die Biegungszugabe wird mithilfe der folgenden Gleichung ermittelt:

Bei der Bearbeitung einer benannten Abwicklungsregel können Sie vier Arten von benutzerdefinierten Gleichungen festlegen.
Der im Stil- und Normen-Editor ausgewählte Gleichungstyp bestimmt, welche Variable die linke Seite der Gleichung definiert. Die Tasten zur Zeicheneingabe im Dialogfeld Gleichung bearbeiten ermöglichen die Eingabe eines Winkels, eines Radius, einer Stärke und der Zahl Pi mit nur einem Mausklick.
Der Variablentyp wird durch den Gleichungstyp definiert, der im Dialogfeld Stil- und Normen-Editor vor dem Öffnen des Gleichungs-Editors ausgewählt wurde.
 . Fügt eine Variable für einen gemessenen Winkel in eine benutzerdefinierte Abwicklungsgleichung ein.
. Fügt eine Variable für einen gemessenen Winkel in eine benutzerdefinierte Abwicklungsgleichung ein.  . Fügt eine Variable für einen gemessenen Innenradius in eine benutzerdefinierte Abwicklungsgleichung ein.
. Fügt eine Variable für einen gemessenen Innenradius in eine benutzerdefinierte Abwicklungsgleichung ein.  . Fügt eine Variable für eine gemessene Stärke in eine benutzerdefinierte Abwicklungsgleichung ein.
. Fügt eine Variable für eine gemessene Stärke in eine benutzerdefinierte Abwicklungsgleichung ein.  . Fügt den mathematischen Wert der Zahl Pi in eine benutzerdefinierte Abwicklungsgleichung ein.
. Fügt den mathematischen Wert der Zahl Pi in eine benutzerdefinierte Abwicklungsgleichung ein. Sie können Abwicklungsgleichungen für Winkel-, Radius- oder Stärkebereiche definieren, indem Sie im Dialogfeld Begrenzung bearbeiten die entsprechenden Begrenzungsbedingungen angeben.