Übertragenes Drehmoment
 
   
 
Dabei gilt:
| P | Übertragene Leistung [kW] | |
| n | Drehzahl [min -1 ] | 
Druck auf die tragende Fläche der Nut
1. Innendurchmesser der Welle d h > 0
a)  
 
b) wenn d min ≤ d h -> d min = 1.1 d h [mm]
c) wenn d min ≤ 1.5 d h -> d min = 1.5 d h [mm]
2. Innendurchmesser der Welle d h = 0
 
   
 
Dabei gilt:
| d min | Minimaler Wellendurchmesser [mm] | |
| d h | Innendurchmesser der Welle [mm] | |
| T | Drehmoment [Nm] | |
| K a | Anwendungskoeffizient | |
| K f | Gebrauchsermüdungskoeffizient | |
| S v | Angestrebte Sicherheit | |
| τ Al | Zulässige Scherspannung | 
Minimale Länge der Kerbverzahnungen zum Übertragen des Drehmoments
| 1. Feste Verbindung: |  | 
| 2. Flexible Verbindung: |  | 
| Dabei gilt: | 
| T | Drehmoment [Nm] | |
| K a | Anwendungskoeffizient | |
| K f | Gebrauchsabnutzungskoeffizient | |
| K w | Anwendungskoeffizient | |
| K m | Koeffizient für Lastverteilung | |
| S v | Angestrebte Sicherheit | |
| d s | Mittlerer Durchmesser = (D + d) / 2 [mm] | |
| D | Außendurchmesser des Nutquerschnitts [mm] | |
| d | Innendurchmesser des Nutquerschnitts [mm] | |
| N | Anzahl der Nuten [-] | |
| h | Höhe der Nut = (D - d) / 2 [mm] | |
| s | Fase | |
| h st | Verbindungshöhe h st = h - 2 s [mm] | |
| p Dmin | Zulässiger Druck auf die tragende Fläche von Welle oder Nut [MPa] | 
Zulässiger Druck
| 1. Feste Verbindung: |  | 
| 2. Flexible Verbindung: |  | 
| Dabei gilt: | 
| T | Drehmoment [Nm] | |
| K a | Anwendungskoeffizient | |
| K f | Gebrauchsabnutzungskoeffizient | |
| K w | Anwendungskoeffizient | |
| K m | Koeffizient für Lastverteilung | |
| S v | Angestrebte Sicherheit | |
| d s | Mittlerer Durchmesser = (D + d) / 2 [mm] | |
| D | Außendurchmesser des Nutquerschnitts [mm] | |
| d | Innendurchmesser des Nutquerschnitts [mm] | |
| N | Anzahl der Nuten [-] | |
| h | Höhe der Nut = (D - d) / 2 [mm] | |
| s | Fase | |
| h st | Verbindungshöhe h st = h - 2 s [mm] | |
| l f | Wirksame Federlänge [mm] | 
Festigkeitskontrolle
p min ≤ p ds
p min ≤ p dh
Dabei gilt:
| p min | Minimaler berechneter Druck h/2 [MPa] | |
| p ds | Zulässiger Druck in der Welle [MPa] | |
| p dh | Zulässiger Druck in der Nabe [MPa] | 
Metrische Berechnung nach CSN 01 4950
Biegespannung
 
   
 
Dabei gilt:
| s sf | Dicke des Wellenzahnfußes | s sf = 2.17m | |
| h | Zahnhöhe der Welle | h = 1,1m -0,05 | Zentrieren auf Zahnflanken, flacher Nutboden | 
| h = 1.28m - 0.05 | Zentrieren auf Zahnflanken, runder Nutboden | ||
| h = 1.2 m | Äußeres Zentrieren | 
Druck auf die tragende Fläche der Nut
 
   
 
Dabei gilt:
| h n | Tragende Höhe der Kerbverzahnung | h n = 0.9 m - 0.05 | 
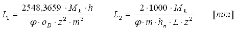
Minimale Länge der Kerbverzahnung
L min = max {L 1 , L 2 } [mm]
Dabei gilt:
 
   
 
Empfohlene Werte: L = (0.8 - 1.6) D
Kontrolle der Kerbverzahnung
p ≤ p d und σ≤σ d
Dabei gilt:
| P | Übertragene Leistung [kW] | |
| n | Drehzahl [min -1 ] | |
| Z | Anzahl der Zähne [-] | |
| p D | Zulässiger Druck auf den Kontaktflächen der Zähne [MPa] | |
| σ D | Zulässige Biegespannung [MPa] | |
| L | Aktive Länge Kerbverzahnung [mm] | |
| D | Nenndurchmesser der Kerbverzahnung [mm] | |
| ϕ | Koeffizient für zahnseitigen Kontakt |