 
Übertragenes Drehmoment

Dabei gilt:
| P | Leistung [kW] | |
| n | Drehzahl [U/min] | 
Berechnung des minimalen Wellendurchmessers
1. Innendurchmesser der Welle d h > 0
a)  
 
b) wenn d min ≤ d h -> d min = 1.1 d h [mm]
c) wenn d min ≤ 1.5 d h -> d min = 1.5 d h [mm]
2. Innendurchmesser der Welle d h = 0

Dabei gilt:
| d min | Minimaler Wellendurchmesser [mm] | |
| d h | Innendurchmesser der Welle [mm] | |
| T | Drehmoment [Nm] | |
| K a | Anwendungskoeffizient | |
| K f | Gebrauchsermüdungskoeffizient | |
| S v | Angestrebte Sicherheit | |
| τ A | Zulässige Scherspannung | 
Allgemeine Berechnung
|  | Bereich der Kraft an der Welle | 
| h k = h - h s - 2 s [mm] | Bereich der Kraft an der Nabe | 
|  | Wellendurchmesser des Bereichs der Kraft | 
|  | Nabendurchmesser des Bereichs der Kraft | 
|  | Kraft an der Welle | 
|  | Kraft an der Nabe | 
| Dabei gilt: | 
| T | Drehmoment [Nm] | |
| F s | Kraft an der Welle [N] | |
| F h | Kraft an der Nabe [N] | |
| K a | Anwendungskoeffizient | |
| K f | Gebrauchsabnutzungskoeffizient | |
| K w | Anwendungskoeffizient | |
| K m | Koeffizient für Lastverteilung | |
| S v | Angestrebte Sicherheit | |
| d | Wellendurchmesser [mm] | |
| d s | Wellendurchmesser mit Krafteinwirkung F s [mm] | |
| d h | Wellendurchmesser mit Krafteinwirkung F d [mm] | |
| N | Anzahl der Nuten [-] | |
| h | Höhe der Nut | |
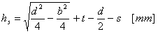
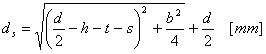
| h s | Höhe des Kraftpunkts an der Welle [mm] | |
| h h | Höhe des Kraftpunkts an der Nabe [mm] | |
| b | Nutbreite [mm] | |
| t | Nuttiefe in der Welle [mm] | |
| s | chamfer | |
| p Dmins | Minimal zulässiger Druck (Nut, Welle) [MPa] | |
| p Dminh | Minimal zulässiger Druck (Nut, Nabe) [MPa] | 
Minimale Länge der Feder zum Übertragen des Drehmoments
| 1. Feste Verbindung: | a) | 
| b) | |
| L min = min(L mins , L minh ) | |
| 2. Flexible Verbindung: | a) | 
| b) | |
| L min = min(L mins , L minh ) | |
| Dabei gilt: | 
| F s | Kraft an der Welle [N] | |
| F h | Kraft an der Nabe [N] | |
| K a | Anwendungskoeffizient | |
| K f | Gebrauchsabnutzungskoeffizient | |
| K w | Anwendungskoeffizient | |
| K m | Koeffizient für Lastverteilung | |
| S v | Angestrebte Sicherheit | |
| d | Wellendurchmesser [mm] | |
| N | Anzahl der Nuten [-] | |
| h s | Höhe des Kraftpunkts an der Welle [mm] | |
| h h | Höhe des Kraftpunkts an der Nabe [mm] | |
| p Dmins | Minimal zulässiger Druck (Nut, Welle) [MPa] | |
| p Dminh | Minimal zulässiger Druck (Nut, Nabe) [MPa] | 
Minimal zulässiger Druck
| 1. Feste Verbindung: | a) | 
| b) | |
| 2. Flexible Verbindung: | a) | 
| b) | |
| Dabei gilt: | 
| F s | Kraft an der Welle [N] | |
| F h | Kraft an der Nabe [N] | |
| K a | Anwendungskoeffizient | |
| K f | Gebrauchsabnutzungskoeffizient | |
| K w | Anwendungskoeffizient | |
| K m | Koeffizient für Lastverteilung | |
| S v | Angestrebte Sicherheit | |
| d | Innendurchmesser des Nutquerschnitts [mm] | |
| N | Anzahl der Nuten [-] | |
| h s | Höhe des Kraftpunkts an der Welle [mm] | |
| h h | Höhe des Kraftpunkts an der Nabe [mm] | |
| l f | Wirksame Federlänge [mm] | 
Festigkeitskontrolle
p mins ≤ p Ds
p minh ≤ p Dh
Dabei gilt:
| p mins | Minimaler berechneter Schubdruck in der Welle [Mpa] | |
| p minh | Minimaler berechneter Schubdruck in der Nabe [Mpa] | |
| p Ds | Zulässiger Druck in der Welle [Mpa] | |
| p Dh | Zulässiger Druck in der Nabe [Mpa] | 
Vereinfachte Berechnung
Minimale Länge der Feder zum Übertragen des Drehmoments
| 1. Feste Verbindung: |  | 
| 2. Flexible Verbindung: |  | 
| Dabei gilt: | 
| T | Drehmoment [Nm] | |
| K a | Anwendungskoeffizient | |
| K f | Gebrauchsabnutzungskoeffizient | |
| K w | Anwendungskoeffizient | |
| K m | Koeffizient für Lastverteilung | |
| S v | Angestrebte Sicherheit | |
| d | Wellendurchmesser [mm] | |
| N | Anzahl der Nuten [-] | |
| h | Höhe der Nut | |
| s | chamfer | |
| h st | Verbindungshöhe h st = h - 2 s [mm] | |
| p Dmin | Zulässiger Druck auf die tragende Fläche von Welle, Nut oder Nabe [MPa] | 
Zulässiger Druck
| 1. Feste Verbindung: |  | 
| 2. Flexible Verbindung: |  | 
| Dabei gilt: | 
| T | Drehmoment [Nm] | |
| K a | Anwendungskoeffizient | |
| K f | Gebrauchsabnutzungskoeffizient | |
| K w | Anwendungskoeffizient | |
| K m | Koeffizient für Lastverteilung | |
| S v | Angestrebte Sicherheit | |
| d | Wellendurchmesser [mm] | |
| N | Anzahl der Nuten [-] | |
| h | Höhe der Nut | |
| s | chamfer | |
| h st | Verbindungshöhe h st = h - 2 s [mm] | |
| l f | Wirksame Federlänge [mm] | 
Festigkeitskontrolle
p min ≤ p Ds
p min ≤ p Dh
Dabei gilt:
| p min | Minimaler berechneter Druck h/2 [MPa] | |
| p Ds | Zulässiger Druck in der Welle [Mpa] | |
| p Dh | Zulässiger Druck in der Nabe [Mpa] |