 
Kontaktdruck
 
Minimale Nabenlänge
 
Empfohlene Werte: L = (0.6 - 3) d
Kraft an einer Schraube
 
Festigkeitskontrolle
p ≤ p A
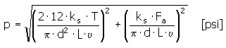
Dabei gilt:
| F a | Axialkraft [lb] | |
| T | Drehmoment [lb ft] | |
| d | Wellendurchmesser [in] | |
| p | Kontaktdruck an der Verbindung [psi] | |
| p A | Zulässiger Druck [psi] | |
| L | Nabenlänge [in] | |
| υ | Klemmungskoeffizient υ = 0.008 bis 0.1 [-] | |
| k s | Schlupfsicherheit [-] | |
| F | Kraft an einer Schraube [lb] | |
| F s | Kraft an allen Schrauben [lb] | |
| i | Gesamtzahl der Schrauben [-] |