In Autodesk® CFD können Sie Partikelspuren entweder für alle masselosen Partikel, die der Strömung folgen, oder für Partikel mit Masse erstellen. In beiden Fällen wird eine Lagrange-Gleichung gelöst, um den Partikelpfad durch das Modell zu berechnen.
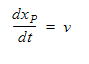
Für die masselosen Partikel lautet die Gleichung:

wobei xp der Vektor der Partikelposition und v die lokale Partikelgeschwindigkeit ist.
Für masselose Partikel ist diese lokale Partikelgeschwindigkeit dieselbe wie die lokale Fluidgeschwindigkeit.
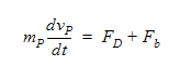
Für Partikel mit Masse ist eine zweite Gleichung erforderlich, um die lokale Partikelgeschwindigkeit zu bestimmen. Wir verwenden das zweite newtonsche Gesetz:

wobei mp die Partikelmasse ist, vp die Partikelgeschwindigkeit, Fb die Auftriebskraft und Fd die Widerstandskraft, die wie folgt berechnet wird:

ist die Fluiddichte.
In dieser Gleichung sind a, b und c Benutzereingaben und Re ist die Fluid-Reynoldszahl berechnet mit:

Zusätzlich zu den obigen Definitionen wird in dieser Gleichung auch Rp als Partikelradius verwendet und
ist die Fluidviskosität.
Die Auftriebskraft wird berechnet mit:

wobei g der Schwerkraftvektor ist, der durch den Benutzer eingegeben wurde.