Analysemerkmale
Verweis
White, F.M. , Fluid Mechanics, McGraw-Hill (1986).
Problembeschreibung
Ein kreisförmiges Rohr in 2D wird analysiert, um die Fluidströmungs- und Turbulenz-Modellierungsfunktionen von Autodesk® CFD zu überprüfen.
Das k-
-Turbulenzmodell wird verwendet.
Die Reynoldszahl auf Basis des Rohrdurchmessers
beträgt 14.960.
Der Druckverlust
wird stromabwärts über ein Intervall von 50 m nach dem Einlass gemessen:

Geometrie und Randbedingungen

Ergebnisse
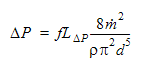
Die analytischen und numerischen Berechnungen des Druckabfalls werden verglichen. Der analytische Ausdruck für den Druckabfall
von White (1986) ist:

ist der Darcy-Reibungsfaktor
ist der Massenstrom
ist die Rohrlänge, über die
gemessen wird.Der Darcy-Reibungsfaktor wird aus dem Blasius-Ausdruck berechnet:

Dabei werden folgende Parameter verwendet:
=50.0 m
=2350 
=14960In den obigen Ausdrücken werden die folgenden Ergebnisse berechnet:
| Benchmark | 2018: Build 20170308 | % Fehler | 2019: Build 20180130 | % Fehler | |
![]() | 4.0e5 Pa | 397477.34 Pa | 0.63 | 397477.34 Pa | 0.63 |