Autodesk® CFD bietet eine numerische Lösung von Navier-Stokes-Gleichtungen (N-S). Bei N-S-Gleichungen wird davon ausgegangen, dass das Fluid als ein Kontinuum behandelt werden kann. In einigen Vakuumströmungen oder bei sehr niedrigem Fließdruck ist die Strömung kein Kontinuum mehr, und die individuellen Fluidmoleküle müssen berücksichtigt werden. Diese Annahme wird ungenau, sobald die charakteristische Länge des Fluidpfads das Zehnfache der mittleren freien Weglänge des Fluids unterschreitet.
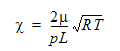
Wir können die mittlere freie Weglänge beschreiben, indem wir
verwenden, einen dimensionslosen Wert, der wie folgt definiert wird:

Die Symbole werden definiert:
| Symbol | Beschreibung |
![]() | Dimensionslose Vakuumzahl |
![]() | Absolute Viskosität bei STP |
| P | Statischer Druck |
| L | Charakteristische Länge (Hydraulischer Durchmesser) |
| R | Gaskonstante |
| T | Temperatur |
Die folgende Tabelle zeigt den Bereich
, für den Navier-Stokes-Gleichungen auf die Strömung angewendet werden können:
Bereich | Strömungsbeschreibung |
< 0.014 | Die Strömung ist ein Kontinuum und wird von Navier-Stokes-Gleichungen bestimmt |
0.014 < <1.0 | Die Strömung ist eine Gleitströmung, wenn sie entlang der Flächen gleitet, kann aber immer noch durch Navier-Stokes-Gleichungen angenähert werden. |
>1.0 | Die Strömung ist kein Kontinuum mehr und kann nicht mit Navier-Stokes-Gleichungen dargestellt werden. |