Turbulenz
Das Dialogfeld "Turbulenz" dient zum Aktivieren oder Deaktivieren von Turbulenz, zur Auswahl des Turbulenzmodells und zum Ändern von Parametern des Modells.
Wählen Sie Laminar, um eine laminare Strömung zu simulieren.
Wählen Sie Turbulent(Vorgabeeinstellung), wenn Sie eine turbulente Strömung simulieren möchten. Die meisten Strömungen in der Technik sind turbulente Strömungen.
Wenn nicht klar ist, ob eine Strömung als laminare oder turbulente Strömung analysiert werden soll, probieren Sie es zuerst mit der Einstellung "Laminar". Wenn es sich tatsächlich um eine turbulente Strömung handelt, wird die Berechnung in der Regel innerhalb der ersten 10 bis 15 Iterationen divergieren. Ändern Sie die Einstellung in "Turbulent", und beginnen Sie erneut ab Iteration 0.
Turb.- Modell
Die folgende Tabelle listet die verfügbaren Turbulenzmodelle, ihre empfohlene Verwendung und einige zusätzliche Informationen auf:
Turbulenzmodell | Empfohlene Verwendung | Anmerkungen |
k-epsilon-Modell | Gut geeignet für die meisten Anwendungen | - Allgemeines Turbulenzmodell
- Vorgabemodell
|
SST K-Omega | - Externe Aerodynamik
- Getrennte oder abgelöste Strömungen
- Strömungen mit nachteiligen Druckgradienten
| - Anstatt Wandfunktionen zu verwenden, simuliert SST die Turbulenz bis zur Wand.
- Das Netz muss im Bereich der Begrenzungsschicht sehr fein sein.
- Sie können im Dialogfeld Wandschichten bis zu zehn Schichten hinzufügen.
- Weitere Informationen finden Sie in den Anmerkungen unten.
|
SST K-Omega SAS (Scale Adaptive Simulation) | Strömungen mit transienten Turbulenzstrukturen, z. B.: - Wirbelablösung
- Variable Wirbelstrukturen
|
- Sie können stationäre Simulationen mit SST K-Omega SAS durchführen. Die turbulenten Strukturen können nicht animiert werden, aber dieses Modell prognostiziert ihre Entstehung und Form besser als eine stationäre K-Epsilon-Simulation.
- Das Netz muss im Bereich der Begrenzungsschicht sehr fein sein. Sie können im Dialogfeld Wandschichten bis zu zehn Schichten hinzufügen.
|
SST K-Omega RC (Smirnov-Menter) | Strömungen mit starker Krümmung, wie z. B. jene, die häufig in Zyklonabscheidern vorkommen. |
- Das ist das Menter-Modell mit zwei Gleichungen und Rotations-/Krümmungskorrektur (RC).
- Es ist rechenintensiv und erfordert ein feines Netz.
- In einigen Fällen sind für das Modell möglicherweise mehrere Tausend Iterationen notwendig, bis die Konvergenz erreicht wird.
|
SST K-Omega RC (Hellsten) | - Bestimmte aerodynamische Profile wie NACA0012 und Coanda
- Kleine, schnell drehende Komponenten
- Stark gekrümmte Strömungen und über konvexe Flächen
|
- Es handelt sich um das Zweigleichungs-SST-Modell von Menter mit der vereinfachten Drehungs-/Krümmungskorrektur von Hellsten.
- Das Modell liefert eine gute Vorhersage für Strömungen über konvexen Flächen, bei denen die Ablösung möglicherweise schwer mit anderen Modellen vorherzusagen ist.
|
SST K-Omega DES (Detached Eddy Simulation) | Getrennte externe Aerodynamikströmungen und Aerodynamikströmungen mit hoher Reynoldszahl |
- Das ist ein hybrides Modell aus den Modellen SST K-Omega und Large Eddy Simulation (LES).
- Dieses Modell ist rechenintensiv und empfindlich auf die Netzverteilung.
- Es funktioniert am besten mit einer gleichförmigen Netzverteilung.
|
RNG | Wiederanlegepunkt für getrennte Strömungen, insbesondere Strömungen über eine rückwärtsgewandte Stufe | - Beansprucht mehr Rechenleistung, kann aber manchmal etwas genauer als das K-Epsilon-Modell sein.
- Es wird häufig empfohlen, mit dem K-Epsilon-Modell zu beginnen und dann zu RNG wechseln, wenn die Strömung größtenteils konvergiert ist.
|
Low-Re k-epsilon-Modell | - Turbulente Strömungen mit niedriger Geschwindigkeit und einer Reynoldszahl zwischen 1500 und 5000.
- Strömungen mit Bereichen mit hoher und niedriger Geschwindigkeit.
- Rohrströmungen und externe aerodynamische Strömungen, die von laminar zu turbulent übergehen.
- Hochdruckstrahlen, die in einen großen Raum mit langsamer Strömung eintreten.
- Auftriebsinduzierte Strömungen (natürliche Konvektion), die kaum Turbulenzen aufweisen.
| - Dieses Modell verwendet keine Wandfunktionen. Verwenden Sie mindestens fünf Wandschichten.
- Möglicherweise weniger stabil als K-Epsilon.
- Erfordert mehr Iterationen bis zur Konvergenz als K-Epsilon.
- Erzeugt in der Regel die gleiche Lösung für Hochgeschwindigkeitsströmungen als K-Epsilon.
- Kommt zu ähnlichen Ergebnissen wie die Auswahl Laminar für laminare Strömungen.
|
Mischungsweg | Einige interne natürliche Konvektionsanalysen | - In einigen Fällen wird bei internen temperaturabhängigen Strömungen die Laufzeit reduziert und die Genauigkeit verbessert.
- Konzipiert für gasförmige Strömungen (z. B. Luft), liefert keine guten Ergebnisse für Flüssigkeitsströmungen.
|
Wirbel-Viskosität (Eddy) | Turbulente Strömungen mit niedriger Geschwindigkeit und einige Strömungen mit natürlicher Konvektion. | - Weniger präzise als das K-Epsilon-Modell, aber numerisch stabiler.
- Dieses Modell ist bei Divergenzen mit einem anderen Modell nützlich.
|
Weitere Anmerkungen zu SST-k-Omega
Die SST-Modelle sind eine Mischung aus dem K-Omega-Modell von Wilcox und einer K-Epsilon-Modellvariante. Dieses Modell bietet u. a. folgende Vorteile:
- Die SST-Modelle reagieren weniger empfindlich auf Freiströmungsbedingungen (Strömung außerhalb der Begrenzungsschicht) als viele andere Turbulenzmodelle.
- Mithilfe einer Scherspannungsbegrenzung vermeiden diese Modelle den Aufbau übermäßiger turbulenzbedingter kinetischer Energie in der Nähe von Stagnationspunkten.
- Die SST-Modelle bieten eine Plattform für zusätzliche Erweiterungen wie SAS und Laminar-Turbulent-Übergang.
- Wenn der Rauheitswert einer Wand mit der Materialdefinition vorgegeben ist, berücksichtigen die SST-Modelle die Wandrauheit. Sie können die Wandrauheit simulieren, indem Sie im Dialogfeld "Turbulenz" auf die Schaltfläche Erweitert klicken und Intelligente Wandformulierung deaktivieren.
Autom. Start
"Autom. Start" steuert den automatischen Turbulenzen-Startalgorithmus (ATSU-Algorithmus).
Dieser Algorithmus führt eine Reihe von Schritten aus, um Lösungen für turbulente Strömungen zu gewinnen. Der Algorithmus beginnt mit 10 Iterationen unter Verwendung eines Modells mit konstanter Wirbelviskosität. Das heißt, die K- und Epsilon-Gleichungen werden nicht berechnet. Mit dieser Lösung als erster Schätzung wird das Zweigleichungs-Turbulenzmodell gestartet. In Iteration 10 zeigen die Daten der Konvergenzüberwachung eine Spitze für die K- und Epsilon-Gleichungen. Anschließend werden weitere Schritte durchgeführt, um allmählich zum konvergierten Ergebnis zu gelangen. Diese Schritte können nach 10, 20 und 50 Iterationen Spitzen in den Daten der Konvergenzüberwachung zur Folge haben. Nach 50 Iterationen wird der ATSU-Algorithmus automatisch deaktiviert.
Wenn "Sperren bei" ausgewählt ist, bleibt der ATSU-Algorithmus während der gesamten Analyse aktiv, bis der Benutzer ihn manuell durch Klicken deaktiviert. Wenn Konvergenzschwierigkeiten nach Iteration 50 auftreten (Divergenz innerhalb von 10 Iterationen), sollten Sie "Sperren bei" aktivieren. Bei aktiviertem ATSU-Algorithmus sollten Sie mindestens 200 Iterationen ausführen, um sicherzustellen, dass die Lösung für die turbulente Strömung konvergiert.
Wenn "Erweitern" ausgewählt ist, wird eine erweiterte Version des ATSU-Algorithmus aktiviert. Diese Methode eignet sich für schwierige Analysen, insbesondere Analysen kompressibler Strömungen. Mit dieser Version des Algorithmus sollten mindestens 400 Iterationen ausgeführt werden.
Verhältnis Turb./Lam.
Das "Verhältnis Turb./Lam." ist das Verhältnis zwischen der effektiven (turbulenten) Viskosität und dem laminaren Wert. Er dient zur Schätzung der effektiven Viskosität zu Beginn der Analyse der turbulenten Strömung. Bei den meisten Analysen turbulenter Strömungen ist die effektive Viskosität um 2-3 Größenordnungen höher als der laminare Wert. Der Vorgabewert ist in der Regel für die meisten Strömungen geeignet.
Für das Mischungsweg-Modell stellt das "Verhältnis Turb./Lam." die obere Grenze für die Wirbelviskosität dar. Die Freiströmungs-Wirbelviskosität erreicht bei diesem Wert ihr Maximum.
Für das Wirbelviskositätsmodell (Eddy) ist dies die Wirbelviskosität, auch wenn Sie den Wert bei einem Neustart ändern.
Für alle anderen Modelle (K-Epsilon, RNG, Modell mit niedriger Reynoldszahl) ist der angegebene Wert der Ausgangspunkt oder Startwert für die Wirbelviskosität.
Häufig ist es nützlich, für Strömungen, bei denen ein kleiner Hochdruckstrahl in eine große Druckkammer schießt, den Wert von "Verhältnis Turb./Lam". auf 1000 oder sogar 10,000 zu erhöhen. Solche Strömungen sind in der Regel impulsinduziert und profitieren von einer größeren turbulenten Viskosität am Anfang der Berechnung.
Erweiterte Parameter
Im Dialogfeld Erweitert stehen weitere Parameter zur "Optimierung" des Turbulenzmodells zur Verfügung. Die meisten Parameter werden im Abschnitt Theoretische Beschreibung für die jeweilige turbulente Strömung erläutert und sollten generell nicht geändert werden, sofern Sie nicht sehr vertraut mit der Theorie der Zweigleichungs-Turbulenz sind. Die folgenden Parameter können jedoch mit etwas mehr Flexibilität modifiziert werden:
Turbulenzintensität
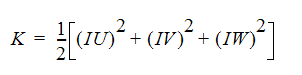
Der Turbulenzintensitätsfaktor steuert die turbulente kinetische Energie in der Einlassströmung. Der Vorgabewert beträgt 0.05 und sollte selten größer als 0.5 sein. Die Formel zur Berechnung der turbulenten kinetischen Energie am Einlass lautet:

I ist der Intensitätsfaktor, und U, V und W sind Geschwindigkeitskomponenten.
"Intelligente Wandformulierung" ist eine skalierbare Wandformulierung, welche die Stabilität und Genauigkeit von SST-Turbulenzmodellen verbessert. Sie verringert die Empfindlichkeit von Ergebnissen in Bezug auf den Grad der Netzverfeinerung entlang der Wand.
"Intelligente Wandformulierung" ist vorgabemäßig für die SST K-Omega-Modelle aktiviert.
Darüber hinaus kann "Intelligente Wandformulierung" für K-Epsilon aktiviert werden. Es hat sich gezeigt, dass dieser Parameter in folgenden Situationen gute Dienste leistet:
- Bei Verwendung von Netzadaption zeigt "Intelligente Wandformulierung" in Verbindung mit K-Epsilon keine Leistungsminderung, wenn das Netz verfeinert ist.
- "Intelligente Wandformulierung" mit K-Epsilon eliminiert die Empfindlichkeit gegenüber dem Abfall des "y+"-Werts bis unter die Unterschicht (< 35).
- "Intelligente Wandformulierung" mit K-Epsilon verbessert nachweislich die Genauigkeit und Konvergenzrate für einige Simulationen.
Verwandte Themen
Erweiterte Einstellungen
Mathematische Grundlage