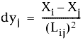
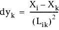
The change in coordinates for each observation is expressed in the following Taylor series approximations of the angle observation equation:
where
- Lij = the observed length of line IJ
- Lik = the observed length of line IK
- Lik = the observed length of line IK
- Xi, Yi = the most probable coordinates of point I
- Xj, Yj = the most probable coordinates of point J
- Xk, Yk = the most probable coordinates of point K
The following illustration shows the geometry of the angle observation equation: