The following illustration describes the Right Side pivot method for a dual crowned carriageway.
Distorted Central Reserve means when superelevation is applied, the central reserve width remains that same, but either side raises or lowers to accommodate the superelevation. This option distorts the central reserve shape, and the
pivot points maintain their original position.
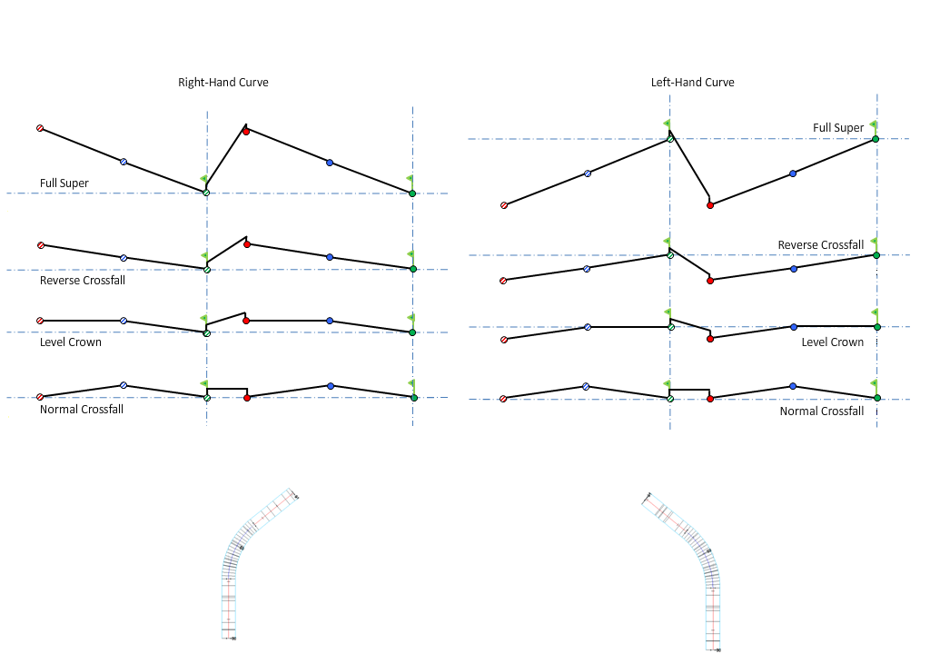
For an explanation of superelevation diagrams, see About Superelevation Axis of Rotation Pivot Methods.
