Various transition curves are used in civil engineering to gradually introduce curvature and superelevation between both tangents and circular curves as well as between two circular curves with different curvature.
In its relationship to other tangents and curves, each spiral is either an incurve or an outcurve.
The two most commonly used parameters by engineers in designing and setting out a spiral are L (spiral length) and R (radius of circular curve).
The following illustration shows the various parameters of a spiral:
| Spiral Parameter | Description |
| i1 | The central angle of spiral curve L1, which is the spiral angle. |
| i2 | The central angle of spiral curve L2, which is the spiral angle. |
| T1 | The total tangent distance from PI to TS. |
| T2 | The total tangent distance from PI to ST. |
| X1 | The tangent distance at SC from TS. |
| X2 | The tangent distance at CS from ST. |
| Y1 | The tangent offset distance at SC from TS. |
| Y2 | The tangent offset distance at CS from ST. |
| P1 | The offset of the initial tangent into the PC of the shifted curve. |
| P2 | The offset of the initial tangent out to the PT of the shifted curve. |
| K1 | The abscissa of the shifted PC referred to the TS. |
| K2 | The abscissa of the shifted PT referred to the ST. |
| LT1 | The long tangent spiral in. |
| LT2 | The long tangent spiral out. |
| ST1 | The short tangent spiral in. |
| ST2 | The short tangent spiral out. |
| Other Spiral Parameters | |
| A1 | The A value equals the square root of the spiral length multiplied by the radius. A measure of the flatness of the spiral. |
| A2 | The A value equals the square root of the spiral length multiplied by the radius. A measure of the flatness of the spiral. |
Formula
Compound spirals provide a transition between two circular curves with different radii. As with the simple spiral, this allows for continuity of the curvature function and provides a way to introduce a smooth transition in superelevation.
While Autodesk Civil 3D supports several spiral types, the clothoid spiral is the most commonly used spiral type. The clothoid spiral is used world wide in both highway and railway track design.
First investigated by the Swiss mathematician Leonard Euler, the curvature function of the clothoid is a linear function chosen such that the curvature is zero (0) as a function of length where the spiral meets the tangent. The curvature then increases linearly until it is equal to the adjacent curve at the point where the spiral and curve meet.
Such an alignment provides for continuity of the position function and its first derivative (local azimuth), just as a tangent and curve do at a Point of Curvature (PC). However, unlike the simple curve, it also maintains continuity of the second derivative (local curvature), which becomes increasingly important at higher speeds.
Formula
Clothoid spirals can be expressed as:
Flatness of spiral:
Total angle subtended by spiral:
Tangent distance at spiral-curve point from tangent-spiral point is:
Tangent offset distance at spiral-curve point from tangent-spiral point is:

Instead of using the clothoid, the Bloss spiral with the parabola of fifth degrees can be used as a transition. This spiral has an advantage over the clothoid in that the shift P is smaller and therefore there is a longer transition, with a larger spiral extension (K). This factor is important in rail design.
Formula
Bloss spirals can be expressed as:

Other key expressions:
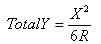
Tangent distance at spiral-curve point from tangent-spiral point is:

Tangent offset distance at spiral-curve point from tangent-spiral point is:
These curves represent a consistent course of curvature and are applicable to transition from 0 through 90 degrees of tangent deflections. However, sinusoidal curves are not widely used because they are steeper than a true spiral and are therefore difficult to tabulate and stake out.
Formula
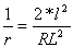
Sinusoidal curves can be expressed as:

where r is the radius of curvature at any given point.
This form of equation is commonly used in Japan for railway design. This curve is useful in situations where you need an efficient transition in the change of curvature for low deflection angles (in regard to vehicle dynamics.)
Formula
Sine Half-Wavelength Diminishing Tangent curves can be expressed as:
where
and x is the distance from the start to any point on the curve and is measured along the (extended) initial tangent;
X is the total X at the end of the transition curve.
Other key expressions:
Tangent distance at spiral-curve point from tangent-spiral point is:

Tangent offset distance at spiral-curve point from tangent-spiral point is:

Cubic parabolas converge less rapidly than cubic spirals, which makes their use popular in railway and highway design.
Formula
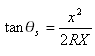
Minimum Radius of Cubic Parabola
The radius at any point on a cubic parabola is:
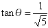
A cubic parabola attains minimum r at:
So
A cubic parabola radius decreases from
infinity to
at 24 degrees, 5 minutes, 41 seconds and from then onwards starts to increase again. This makes cubic parabolas useless for deflections greater than 24 degrees.
This transition was developed for requirements in Japan. Some approximations of the clothoid have been developed to use in situations to accommodate a small deflection angle or a large radius. One of these approximations, used for design in Japan, is Cubic (JP).
Formula
Cubic (JP) can be expressed as:
Where X = Tangent distance at spiral-curve point from tangent-spiral point
This formula can also be expressed as:

Where
is central angle the spiral (illustrated as i1 and i2in the illustration)
Other key expressions:
Tangent distance at spiral-curve point from tangent-spiral point is:

Tangent offset distance at spiral-curve point from tangent-spiral point is:
This is a type of modified cubic parabola to meet the requirements of New South Wales (Australia) standards.
Formula
The NSW cubic parabola can be expressed as:
Where:
Φ = angle between final radial line at R and perpendicular line to the initial tangent
R = radius of curve
Xc = total X of the given spiral
Bi-quadratic (Schramm) spirals have low values of vertical acceleration. They contain two second-degree parabolas whose radii vary as a function of curve length.
Simple Curve Formula
Curvature of the first parabola:
for
Curvature of the second parabola:
for
This curve is specified by the user-defined length (L) of the transition curve.
Compound Curve Formulas
Curvature of the first parabola:
for
Curvature of the second parabola:
for