Review the requirements for working with Moldflow models in Advanced Material Exchange.
| Moldflow | |
|---|---|
| Supported Versions | Insight 2017, 2018, 2019, 2021, 2021.1, 2021.2, 2023 |
| Mesh Type | 3D or Mid-plane elements |
| Geometry | Single parts |
| Must Contain | Fill + Pack analysis sequence |
Advanced Material Exchange supports both injection-molded and injection-compression molded parts from Moldflow.
When importing Moldflow study files into Advanced Material Exchange, you must make sure the additional Moldflow results files referenced by the study (*.sdy) file are present in the same directory. For models that include a weld surface strength analysis, you must have the following results files:
For models that do not include a weld surface strength analysis, the *.ws3 file is not required.
Moldflow offers a number of fiber orientation prediction models. By default, the Moldflow Rotational Diffusion (MRD) model is used. The MRD, available in Moldflow 2017 R2 or later, is the recommended model for use with Advanced Material Exchange.
Advanced Material Exchange supports both filled and unfilled plastics. For filled plastics where the aspect ratio of the filler is > 1, the material behavior is highly dependent on the fiber orientations. If the aspect ratio of the filler = 1 (a sphere), the material is considered unfilled. Examples include talc or other mineral fillers. Advanced Material Exchange also supports materials with multiple fillers, where the second filler has an aspect ratio of 1.
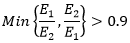
Unfilled materials are almost always isotropic. However, there are cases where an unfilled material can behave in an anisotropic fashion. If the following criteria is met, Advanced Material Exchange considers the unfilled material isotropic.

Where E1 and E2 are the Elastic Moduli in the 1 and 2 directions, respectively. If the unfilled material meets this criteria, the Elastic Modulus and Poisson Ratio are calculated as follows:

Advanced Material Exchange is designed to handle materials that are primarily brittle in nature. Generally speaking, brittle materials fracture at low strains and without any visible warning (i.e. necking). Brittle materials can still exhibit material softening before failing, but once the failure initiates, the catastrophic failure of the structure follows close behind.
Ductile materials are those that exhibit a large, elongated stress-strain curve (large strains at failure). The plot below shows an example of a ductile material response.

The material model used in Advanced Material Exchange works best for materials that experience failure at relatively low strain. Very ductile materials will not be represented well using the existing material model. Advanced Material Exchange does not consider the region beyond the ultimate stress during the material characterization. This is shown as the shaded region in the plot above.
Advanced Material Exchange does not allow you to import a Midplane model from Moldflow that contains multiple active sections or layers of varying thicknesses. However, you can use the layer controls in Moldflow to handle models with varying thicknesses.
This simple workaround enables you import more complex models into Advanced Material Exchange without making major modifications to the study. The same process can be used to remove runners and cooling lines that aren't necessary for Advanced Material Exchange.
An added benefit of turning on a single layer is that the automatic alignment feature in Advanced Material Exchange will work for every model, removing the need to use the interactive alignment tool.