Examine the failure criteria for woven composite materials.
As discussed earlier, the same fiber failure criterion is used for woven composites and unidirectional composites. The ultimate composite strengths +
, -
, and
are used to directly calculate the fiber failure coefficients.
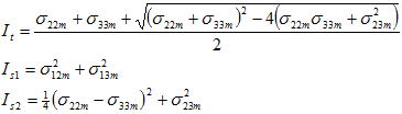
Because the matrix failure criterion used for woven composites shown below only has three coefficients, only three strength values are required. The knee strengths corresponding to the ultimate strengths +
, -
, and
are used to directly calculate these coefficients.

where,
