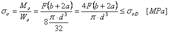
Bending stress

Pressure in rod
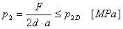
Pressure in clevis
Shear stress
where:
|
F |
force [N] |
|
|
σ 0 |
bending stress [MPa] |
|
|
σ 0D |
allowable bending stress [MPa] |
|
|
M 0 |
bending moment [N mm] |
|
|
W 0 |
bending section modulus [mm 3 ] |
|
| τ |
shear stress [MPa] |
|
|
τ D |
allowable shear stress [MPa] |
|
|
d |
pin diameter [mm] |
|
|
p 1 |
pressure in rod [MPa] |
|
|
p 2 |
pressure in clevis [MPa] |
|
|
p 1D |
allowable pressure in rod [MPa] |
|
|
p 2D |
allowable pressure in clevis [MPa] |
|
|
b |
rod width [mm] |
|
|
a |
clevis arm width [mm] |