Described here are the governing thermal equations solved by the Simulation Utility, along with the formulation of the thermal boundary conditions required to resolve the temperature field throughout the history of the deposition process.
Thermal equilibrium
For a body with constant density,
ρ, and an isotropic specific heat capacity,
Cp, the governing equation is

Equation 2
where temperature is
T, time is
t , heat flux vector is
qi, position vector is
xj , and body heat source is
Q. The necessary initial condition is
T0 =
T∞, where
T∞ is the ambient temperature. A two-part Neumann boundary condition is implemented, consisting of the applied heat source and the surface heat losses due to both convection and thermal radiation.
The distribution of heat through the part is described by Fourier's conduction equation:

Equation 3
where the isotropic temperature dependent thermal conductivity is
k(T).
To solve these equations it is necessary to have an initial condition, a heat input model, and thermal boundary conditions. The initial condition for the first time step is to set the temperature to either the ambient or preheating temperature for the substrate or build plate elements. For subsequent time steps the initial condition are the nodal temperatures calculated at the previous time step. In the following section, the thermal boundary conditions and their numeric implementation are described.
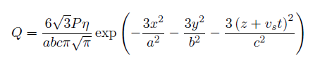
The heat input model
Simulation applies Goldak's 3D Gaussian ellipsoidal distribution heat source model (see Reference 2):

Equation 4
where
P is the power, η is the absorption efficiency;
x,
y, and
z are the local coordinates;
a,
b, and
c are the transverse, melt pool depth, and longitudinal dimensions of the ellipsoid respectively,
vs is the heat source travel speed, and
t is the time.
Boundary losses
During AM process heat losses may occur due to thermal radiation, free convection, forced convection, or conduction through fixturing bodies.
Convection
Then the total heat loss from convection is modeled using Newton's Law of cooling:

Equation 5
where
qconv is the convective heat flux,
h is the heat transfer coefficient, and
Ts is the surface temperature.
Radiation
The Stefan-Boltzmann law describes the heat flux due to radiation as:

Equation 6
where
ε is surface emissivity and
σ is the Stefan-Boltzmann constant, where
σ = 5.67 X 10
-8 W/m
2K
4. Radiation is linearized and treated as an effective heat transfer coefficient through the following means:

Equations 7 and 8