Description
Defines material properties for use in elastometric foams.
Format
| 1 | 2 | 3 | 4 | 5 | 6 | 7 | 8 | 9 | 10 |
| MATHPF | MID | MU1 | ALPHA1 | NU1 | RHO optional | AV optional | TREF optional | GE optional | |
| NA | optional | optional | optional | optional | |||||
| optional | MU2 optional | ALPHA2 optional | NU2 optional | MU3 optional | ALPHA3 optional | MU3 optional | unused | unused | optional |
| optional | MU4 optional | ALPHA4 optional | NU4 optional | MU5 optional | ALPHA5 optional | MU5 optional | unused | unused | optional |
| optional | MU6 optional | ALPHA6 optional | NU6 optional | optional | optional | optional | unused | unused | optional |
| optional | TAB1 optional | TAB2 optional | TAB3 optional | optional | optional | optional | unused | TABD unused | optional |
Example
| MATHPF | 100 | 160 | 2 | 0.48 | 0.01 | ||||
| 2 | |||||||||
| 40 | -0.2 | 0 |
| Field | Definition | Type | Default |
|---|---|---|---|
| MID | Material identification number | Integer > 0 | Required |
| MUi | Shear moduli related to distortional deformation. | Real | 0.0, See Remark 2 |
| ALPHAi | Exponents related to distortional deformation. | Real | 0.0, See Remark 2 |
| NUi | Material constants related to volumetric deformation. | Real ≥ 0 | 0.0, See Remark 2 |
| RHO | Mass density in original configuration. | Real | 0.0 |
| AV | Volumetric coefficient of thermal expansion. | Real | 0.0 |
| TREF | Reference temperature for the calculation of thermal loads. | Real | 0.0 |
| GE | Structural element damping coefficient. See Remarks 6 and 8. | Real | 0.0 |
| NA | Order of the strain energy polynomial function. | 0 < Integer ≤ 6 | 1, See Remark 3 |
| TAB1 | Table identification number of TABLES1 entry that contains simple tension/compression data to be used in the estimation of the material constants Aij. xi values in the TABLES1 entry must be stretch ratios
/ 0 and yi values must be values of the engineering stress
F/A0. Stresses are negative for compression and positive for tension. If this convention is not followed the solution may fail to converge.
|
Integer > 0 or blank | |
| TAB2 | Table identification number of TABLES1 entry that contains equibiaxial tension data to be used in the estimation of the material constants Aij. xi values in the TABLES1 entry must be stretch ratios
/ 0. yi values must be values of the engineering stress
F/A0.
is the current length,
F is the current force,
0 is the initial length, and
A0 is the cross-sectional area. In the case of pressure of a spherical membrane, the engineering stress is given by
Pr0λ2/2t0 where
P is the current value of the pressure and r0, t0 are the initial radius and thickness.
|
Integer > 0 or blank | |
| TAB3 | Table identification number of TABLES1 entry that contains simple shear data to be used in the estimation of the material constants Aij. xi values in the TABLES1 entry must be values of the shear tangent γ and yi values must be values of the engineering stress F/A0. | Integer > 0 or blank | |
| TABD | Table identification number of TABLES1 entry that contains pure volumetric compression data to be used in the estimation of the material constants Di. xi values in the TABLES1 entry must be values of the volume ratio
J = λ3, where λ =
/ 0 is the stretch ratio in all three directions; yi values must be values of the pressure, assumed positive in compression.
|
Integer > 0 or blank |
Remarks

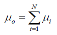
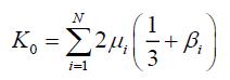
where λ1, λ2, and λ3 are principal stretches; J = detF is the determinate of the deformation gradient.
i, by


