Description
The PCOMP entry defines the properties of an n-ply composite material laminate.
Format
| 1 | 2 | 3 | 4 | 5 | 6 | 7 | 8 | 9 | 10 |
| PCOMP | PID | Z0 optional | optional | SB optional | FT optional | TREF optional | optional | LAM optional | optional |
| optional | MID1 optional | T1 optional | THETA1 | MID2 | T2 | THETA2 | |||
| MID3 | T3 | THETA3 | -etc.- |
Example
| PCOMP | 190 | -0.256 | 2500.0 | TSAI | |||||
| 200 | 0.065 | 0.0 | 210 | 0.04 | 45.0 | ||||
| 220 | 0.03 | 60.0 |
| Field | Definition | Type | Default |
|---|---|---|---|
| PID | Property identification number. | Integer > 0 | Required |
| Z0 | Distance from the reference plane to the bottom surface. | Real | -1/2 element thickness |
| SB | Allowable shear stress of the bonding material (allowable interlaminar shear stress). The SB parameter is required if failure index is desired. | Real > 0.0 | |
| FT | Failure theory. The following theories are allowed; if blank, no failure calculation is performed.
HILL for the Hill theory HOFF for the Hoffman theory TSAI for the Tsai-Wu theory STRESS for the maximum stress theory STRAIN for the maximum strain theory MCT for Multicontinuum theory |
Character or blank | |
| TREF | Reference temperature. See Remark 3. | Real | 0.0 |
| LAM | Laminate option. If LAM = SYM, only plies on one side of the element centerline are specified. The plies are numbered starting with 1 for the bottom layer. If an odd number of plies is desired with LAM = SYM then the center ply thickness (Ti) should be half the actual thickness. | Character or blank | If blank, all plies must be specified |
| MIDi | Material ID of the various plies. The plies are identified by serially numbering them from 1 at the bottom layer. The MID’s must refer to MAT1 or MAT8 Bulk Data entries. See Remark 6. | Integer > 0 | MID1 required; see Remark 1 |
| Ti | Thicknesses of various plies. See Remark 1. | Real or blank | T1 required |
| THETAi | Orientation angle of the longitudinal direction of each ply with the material axis of the element. (If the material angle on the element connection entry is 0.0, the material axis and side 1-2 of the element coincide.) The plies are numbered serially starting with 1 at the bottom layer. The bottom layer is defined as the surface with the largest minus Z value in the element coordinate system. | Real or blank | 0.0 |
Remarks
| Theory | Failure Index | Remarks |
|---|---|---|
| Hill |
![]() |
Orthotropic materials with equal strengths in tension and compression. |
| Hoffman |
![]() |
Orthotropic materials under a general state of plane stress with unequal tensile and compressive strengths. |
| Tsai-Wu |
![]() |
Orthotropic materials under a general state of plane stress with unequal tensile and compressive strengths. |
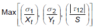
| Max Stress |
![]() |
None |
| Max Strain |
![]() |
None |