Bilinear Model

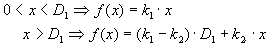
The following parameters for the bilinear model are defined for positive arguments x>0. The value of the derivative needed to define the stiffness is also specified.

Function:

Derivative (stiffness):

Limitations: