En ingeniería civil se utilizan varias curvas de transición para introducir gradualmente curvatura y peralte entre tangentes y curvas circulares, así como entre dos curvas circulares con curvatura diferente.
En su relación con otras tangentes y curvas, cada espiral es una curva de entrada o una curva de salida.
Los dos parámetros que los ingenieros utilizan con más frecuencia en el diseño y configuración de una espiral son L (longitud de espiral) y R (radio de curva circular).
La siguiente ilustración muestra los distintos parámetros de una espiral:
| Parámetro de espiral | Descripción |
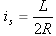
| i1 | Ángulo central de una curva espiral L1, que es el ángulo de la espiral. |
| i2 | Ángulo central de una curva espiral L2, que es el ángulo de la espiral. |
| T1 | Distancia de tangente total de PI a TE. |
| T2 | Distancia de tangente total de PI a TS. |
| X1 | Distancia de tangente en EC desde TE. |
| X2 | Distancia de tangente en TC desde ST. |
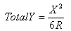
| Y1 | Distancia de desfase de tangente en EC desde TE. |
| Y2 | Distancia de desfase de tangente en TC desde ST. |
| P1 | Desfase de la tangente inicial hacia el PC de la curva desplazada. |
| P2 | Desfase de la tangente inicial hacia fuera del PT de la curva desplazada. |
| K1 | Abscisa del PC desplazado referente a TE. |
| K2 | Abscisa del PT desplazado referente a ST. |
| LT1 | Espiral de entrada de tangente larga. |
| LT2 | Espiral de salida de tangente larga. |
| ST1 | Espiral de entrada de tangente corta. |
| ST2 | Espiral de salida de tangente corta. |
| Otros parámetros de espiral | |
| A1 | El valor A equivale a la raíz cuadrada de la longitud de la espiral multiplicada por el radio. Medida de la planicidad de la espiral. |
| A2 | El valor A equivale a la raíz cuadrada de la longitud de la espiral multiplicada por el radio. Medida de la planicidad de la espiral. |
Fórmula
Las espirales compuestas proporcionan una transición entre dos curvas circulares con radios distintos. Al igual que las espirales simples, permiten la continuidad de la función de curvatura y proporcionan un modo de introducir una transición uniforme en el peralte.
Aunque Autodesk Civil 3D admite muchos tipos de espiral, la clotoide es el más utilizado. Este tipo de espiral se utiliza de forma universal tanto para el diseño de vías férreas como de carreteras.
Investigada inicialmente por el matemático suizo Leonard Euler, la función de la curvatura de la clotoide es una función lineal elegida de forma que su curvatura sea cero (0) como una función de longitud donde la espiral coincide con la tangente. A continuación, la curvatura aumenta linealmente hasta equipararse a la curva adyacente en el punto en el que espiral y curva coinciden.
Dicha alineación proporciona continuidad para la función de posición y su primera derivativa (acimut local), al igual que una tangente y una curva lo hacen en un punto de curvatura (PC). Sin embargo, a diferencia de las curvas simples, también mantiene la continuidad de la segunda derivativa (curvatura local), que cobra cada vez más importancia en velocidades superiores.
Fórmula
Las clotoides se pueden expresar de la siguiente manera:
Planicidad de la espiral:
Ángulo total subtendido por espiral:
La distancia de tangente en el punto espiral-curva desde del punto tangente-espiral es:
La distancia de desfase de tangente en el punto espiral-curva desde del punto tangente-espiral es:

En lugar de utilizar la clotoide, se puede usar la espiral de Bloss con la parábola de quinto grado como una transición. Una ventaja de esta espiral sobre la clotoide radica en que el desplazamiento de P es menor y por tanto hay una transición mayor, con una extensión de espiral también mayor (K). Este factor es importante en el diseño del carril.
Fórmula
Las espirales de Bloss se pueden expresar de la siguiente manera:

Otras expresiones clave:
La distancia de tangente en el punto espiral-curva desde del punto tangente-espiral es:

La distancia de desfase de tangente en el punto espiral-curva desde del punto tangente-espiral es:
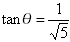
Estas curvas representan un rumbo coherente de curvatura y son aplicables a la transición entre 0 y 90 grados de desviación de tangente. Sin embargo, las curvas sinusoidales no se utilizan mucho porque son más empinadas que una espiral verdadera y, por lo tanto, más difíciles de tabular y jalonar.
Fórmula
Las curvas sinusoidales se pueden expresar de la siguiente manera:

donde r es el radio de curvatura de cualquier punto dado.
Este tipo de ecuación se utiliza normalmente en el diseño de vías férreas en Japón. Esta curva es útil en situaciones en las que se necesita una transición eficiente en el cambio de curvatura para ángulos de desviación pequeños (en relación con la dinámica del vehículo).
Fórmula
Una curva tangente en disminución de media onda sinusoidal se puede expresar de la siguiente manera:
donde
y x es la distancia del inicio a cualquier punto de la curva y se mide a lo largo de la tangente inicial (extendida); X es el valor de X total al final de la curva de transición.
Otras expresiones clave:
La distancia de tangente en el punto espiral-curva desde del punto tangente-espiral es:

La distancia de desfase de tangente en el punto espiral-curva desde del punto tangente-espiral es:

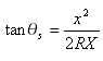
Las parábolas cúbicas convergen con menor rapidez que las espirales cúbicas, por lo que su uso es más común en el diseño de carreteras y ferrocarriles.
Fórmula
Radio mínimo de parábola cúbica
El radio en cualquier punto de una parábola es:
Una parábola cúbica alcanza un r mínimo en:
De forma que
El radio de una parábola cúbica disminuye desde el infinito hasta
en 24 grados, 5 minutos, 41 segundos y de ahí en adelante comienza a aumentar de nuevo. Esto hace que las parábolas cúbicas resulten inútiles para desviaciones mayores de 24 grados.
Esta transición se ha desarrollado para satisfacer requisitos japoneses. Se han desarrollado una serie de aproximaciones de la clotoide para su uso en situaciones en las que sea necesario acomodar un pequeño ángulo de desviación o un radio mayor. Una de estas aproximaciones, utilizada para el diseño en Japón, se denomina cúbica (JP).
Fórmula
Cúbica (JP) se puede expresar de la siguiente manera:
Donde X = distancia de tangente en un punto espiral-curva desde el punto tangente-espiral
Esta fórmula también se puede expresar de la siguiente manera:

Donde
es el ángulo central de la espiral (i1 y i2 en la ilustración)
Otras expresiones clave:
La distancia de tangente en el punto espiral-curva desde del punto tangente-espiral es:

La distancia de desfase de tangente en el punto espiral-curva desde del punto tangente-espiral es:
Es un tipo de parábola cúbica modificada que cumple los requisitos de las normas de Nueva Gales del Sur (Australia).
Fórmula
La parábola cúbica NSW se puede expresar del modo siguiente:
Donde:
Φ = ángulo entre línea radial final en R y línea perpendicular a la tangente inicial
R = radio de curva
Xc = total X de la espiral dada
Las espirales bicuadráticas (Schramm) tienen valores bajos de aceleración vertical. Contienen dos parábolas de segundo grado cuyos radios varían como una función de longitud de curva.
Fórmula de curva simple
Curvatura de la primera parábola:
para
Curvatura de la segunda parábola:
para
Esta curva se especifica mediante la longitud (L) definida por el usuario de la curva de transición.
Fórmulas de curva ovoide
Curvatura de la primera parábola:
para
Curvatura de la segunda parábola:
para