|
|
Para cada polea |
|
F 2 - F 1 + F p = 0 |
|
|
|
|
|
|
|
|
|
Para la polea motriz
|
|
v ≤ v max |
|
|
f b ≤ f máx |
F c = mv 2
F Tmax = k 1 F p + F c
F 1 = F tmax
F 2 = F 1 - F p
Para poleas conducidas e intermedias individuales
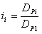
índice i de la polea
F Pi = P xi F p
F 1i = F 2i-1
F 2i = F 1i + F p i
donde:
para una polea síncrona
para una polea plana
Para toda la transmisión de correa
La tensión de instalación requerida de la correa se determina a partir de las fuerzas que actúan sobre la polea motriz de la siguiente forma
Ejemplo de transmisión de potencia con polea intermedia
|
Polea motriz |
Polea plana |
Polea conducida |
|
P x1 = 1 |
P x2 = 0 |
P x3 = 1 |
|
|
|
F P3 = P x3 F p |
|
|
|
|
|
|
|
|
|
|
F 12 = F 21 |
|
|
|
F 22 = F 12 + F p2 = F 12 |
|
|
F c = m v 2 |
|
|
|
F Tmax = k 1 F p + F C |
- |
F 13 = F 22 |
|
F 11 = F Tmax |
- |
F 23 = F 13 + F p3 = F 11 |
|
F 21 = F 11 - F p |
- |
|
|
|
- |
- |
Significado de las variables utilizadas:
|
F p |
Desmoldeo efectivo [N] |
|
F 1 |
Tensión de correa en lado de entrada de la polea especificada [N] |
|
F 2 |
Tensión de correa en lado de salida de la polea especificada [N] |
|
z |
Número de dientes de la polea especificada/Número de dientes de la correa [-] |
| β |
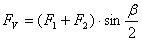
Arco de contacto/ángulo del diente de inclinación lateral [gr] |
|
P |
potencia para transmitir [W] |
|
P R |
Tasa de potencia de correa para un esbozo de transmisión dado [W] |
|
c L |
Factor de servicio [-] |
| β |
Arco de contacto [gr] |
|
T |
Par de torsión en una polea especificada [Nm] |
|
n |
Velocidad de la polea especificada [rpm] |
|
D p |
Diámetro de separación de polea [m] |
|
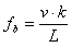
v |
Velocidad de correa [m/s] |
|
k |
Número de poleas en la transmisión de correa [-] |
|
L |
Longitud de paso de correa [m] |
|
P |
potencia para transmitir [W] |
|
m |
Peso específico de correa para anchura determinada [Kg/m] |
|
k 1 |
Factor de tensión de correa [-] |
|
F p |
Desmoldeo efectivo [N] |
|
F c |
Fuerza centrífuga [N] |
|
F t |
Tensión mínima de instalación de correa [N] |
|
P xi |
Tasa de potencia de polea especificada [-] |
|
D pi |
Diámetro de separación de polea [m] |
|
i |
Tasa de transmisión (tasa de velocidad) de polea especificada [-] |
|
T i |
Par de torsión en una polea especificada [Nm] |
| η |
Eficiencia [-] |
|
p b |
Separación circular [m] |
|
D |
Diámetro nominal de polea plana [m] |
|
H |
Altura de la correa [m] |
|
h T |
Altura del diente de la correa [m] |
|
a |
Desfase de línea de paso [m] |