Par de torsión transferido
donde:
|
P |
potencia transferida [Kw] |
|
|
n |
velocidad [mín -1 ] |
Presión en la superficie de soporte de la ranura
1. diámetro interior del eje d h > 0
a)
b) si d mín ≤d h -> d mín = 1,1 d h [mm]
c) si d mín ≤ 1,5 d h -> d mín = 1,5 d h [mm]
2. diámetro interior del eje d h = 0
donde:
|
d mín |
diámetro mínimo del eje [mm] |
|
|
d h |
diámetro interior del eje [mm] |
|
|
T |
par de torsión [Nm] |
|
|
K a |
factor de aplicación |
|
|
K f |
factor de vida útil de fatiga |
|
|
S v |
seguridad deseada |
|
|
τ Al |
Tensión de corte admitida |
Longitud mínima de las ranuras para transferir el par de torsión
|
1. Conexión fija: |
![]() |
|
2. Conexión flexible: |
![]() |
|
donde: |
|
T |
par de torsión [Nm] |
|
|
K a |
factor de aplicación |
|
|
K f |
factor de vida útil de desgaste |
|
|
K w |
factor de aplicación |
|
|
K m |
factor de distribución de la carga |
|
|
S v |
seguridad deseada |
|
|
d s |
diámetro medio = (D + d) / 2 [mm] |
|
|
D |
diámetro exterior de la sección de la ranura [mm] |
|
|
d |
diámetro interior de la sección de la ranura [mm] |
|
|
N |
número de ranuras [-] |
|
|
h |
altura de la ranura = (D - d) / 2 [mm] |
|
|
s |
chaflán [mm] |
|
|
h st |
altura de conexión h st = h - 2 s [mm] |
|
|
p Dmin |
presión admitida en la superficie de soporte del eje o la ranura [MPa] |
Presión admitida
|
1. Conexión fija: |
![]() |
|
2. Conexión flexible: |
![]() |
|
donde: |
|
T |
par de torsión [Nm] |
|
|
K a |
factor de aplicación |
|
|
K f |
factor de vida útil de desgaste |
|
|
K w |
factor de aplicación |
|
|
K m |
factor de distribución de la carga |
|
|
S v |
seguridad deseada |
|
|
d s |
diámetro medio = (D + d) / 2 [mm] |
|
|
D |
diámetro exterior de la sección de la ranura [mm] |
|
|
d |
diámetro interior de la sección de la ranura [mm] |
|
|
N |
número de ranuras [-] |
|
|
h |
altura de la ranura = (D - d) / 2 [mm] |
|
|
s |
chaflán [mm] |
|
|
h st |
altura de conexión h st = h - 2 s [mm] |
|
|
l f |
longitud activa de la chaveta [mm] |
Comprobación de resistencia
p mín ≤ p ds
p mín ≤ p dh
donde:
|
p min |
presión mínima calculada h/2 [MPa] |
|
|
p ds |
presión admitida en el eje [MPa] |
|
|
p dh |
presión admitida en la brida [MPa] |
Cálculo en unidades métricas según la norma CSN 01 4950
Tensión de plegado
donde:
|
s sf |
grosor de altura de pie del diente de cuerda del eje |
s sf = 2,17m |
|
|
h |
altura del diente de la polea |
h = 1,1m - 0,05 |
centrado en los lados del diente, parte inferior de la ranura plana |
|
h = 1.28m - 0,05 |
centrado en los lados del diente, parte inferior de la ranura redonda |
||
|
h = 1.2 m |
centrado exterior |
Presión en la superficie de soporte de la ranura
donde:
|
h n |
altura de la ranura del rodamiento con carga |
h n = 0,9 m - 0,05 |
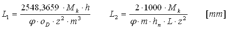
Longitud mínima de las ranuras
L mín = máx {L 1 , L 2 } [mm]
donde:
Valores recomendados: L = (0,8 - 1,6) D
Comprobación de las ranuras
p ≤ p d y σ≤σ d
donde:
|
P |
potencia transferida [kW] |
|
|
n |
velocidad [mín -1 ] |
|
|
z |
número de dientes [-] |
|
|
p D |
presión admitida por contacto en las superficies de los dientes [MPa] |
|
|
σ D |
tensión de plegado admitida [MPa] |
|
|
L |
longitud activa de la ranura [mm] |
|
|
D |
diámetro de ranura nominal [mm] |
|
| ϕ |
factor de contacto del lado del diente |