La adición de cableado al diseño es opcional. Puede crear circuitos sin cableado; ya que Revit mantiene la información asociada con el circuito.
Se puede añadir cableado permanente mediante uno de los siguientes métodos:
grupo Convertir a alambre. Después de crear cableado permanente, permanece visible en la vista aunque el circuito no esté seleccionado.
grupo Electricidad.
Las propiedades de circuito se utilizan para especificar el tipo de cable que se utiliza en un circuito. Consulte Propiedades de circuito.
Convertir un circuito en cableado permanente
Seleccionar el tipo de cableado para el circuito
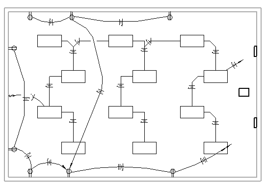
El cableado en arco se utiliza a menudo para representar el cableado oculto dentro de los muros, techos y suelos.
El cableado en chaflán se utiliza a menudo para representar cableado expuesto.
En el ejemplo siguiente, el cableado en arco conecta las bases y el cableado en chaflán a las luminarias. Se añaden automáticamente retornos para indicar la conexión a un panel.
