Autodesk Civil 3D peut calculer des valeurs à partir de la définition géométrique d'une courbe verticale, d'informations relatives au PIV, ainsi que d'un objet et d'une hauteur d'œil.
Ces valeurs sont dérivées d'équations empiriques et ne font pas appel à la modélisation en fonction de la vitesse.
Pour une courbe à point haut, les distances d'arrêt et de visibilité de dépassement sont utilisées parce que le sommet d'une courbe peut gêner la visibilité d'un conducteur sur la surface d'une route ou sur un autre objet.
Les distances d'arrêt et de visibilité de dépassement ne sont pas utilisées pour une courbe à point bas, car aucun sommet de courbe ne gêne la visibilité d'un conducteur sur la surface d'une route ou sur un autre objet. Pendant la journée, avec une bonne visibilité, le conducteur jouit d'une vue complète de la route sur une courbe à point bas. Pendant la nuit toutefois, la visibilité du conducteur est réduite à la portée du faisceau lumineux des phares uniquement. Pour concevoir une courbe à point bas, vous pouvez utiliser la distance de visibilité des phares.
Vous pouvez afficher ces propriétés dans Autodesk Civil 3D 2021 à l'aide de l'éditeur du composant de texte. Dans la fenêtre d'outils, dans l'onglet Paramètres, développez Ligne de profil en long
Styles de l'étiquette
Courbe. Cliquez deux fois sur la valeur d'étiquette par défaut pour le point haut et le point bas. Cliquez sur l'onglet Présentation. Sous Nom du composant, sélectionnez un élément, par exemple BVC (début de courbe verticale). Dans l'éditeur du composant de texte, cliquez sur la flèche de la liste déroulante sous Propriétés afin d'afficher la liste des propriétés disponibles. Faites défiler vers le bas pour voir les propriétés telles que la distance de visibilité des phares, la distance de visibilité de dépassement, etc.
La distance de visibilité de dépassement est la distance nécessaire à un conducteur pour voir un véhicule approchant dans le but de déterminer si la distance est suffisante pour permettre une voie de dépassement. La distance de visibilité de dépassement n'est pas souvent utilisée dans la conception des courbes à point haut, car la longueur de courbe nécessaire pour répondre aux critères de visibilité de dépassement est généralement trop importante.
La distance d'arrêt, paramètre largement utilisé pour déterminer la longueur de la courbe, est la distance nécessaire à un conducteur pour voir un danger sur la surface de la route. Des règles gouvernementales déterminent la distance de visibilité nécessaire pour les dépassements et les arrêts.
Les équations suivantes calculent les longueurs de courbe à point haut à l'aide des distances d'arrêt et de visibilité de dépassement.
où :
L = Longueur de la courbe verticale en pieds (ou en mètres)
S = Distance de visibilité en pieds (ou en mètres)
A = Différence algébrique en pourcentage de pente (%)
h1 = Hauteur d'oeil de l'observateur au-dessus de la surface de la route en pieds (ou en mètres)
h2 = Hauteur d'objet au-dessus de la surface de la route en pieds (ou en mètres)
L'équation suivante résout L lorsque la valeur de S est inférieure à L :

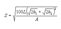
L'équation suivante résout S lorsque la valeur de S est inférieure à L :

L'équation suivante résout L lorsque la valeur de S est supérieure ou égale à L :

L'équation suivante résout S lorsque la valeur de S est supérieure ou égale à L :

Pendant la nuit, le faisceau lumineux des phares d'un véhicule définit la distance de visibilité. Une courbe à point bas intercepte le faisceau lumineux des phares sur la surface de la route et limite la longueur du faisceau lumineux. La distance de visibilité des phares mesure le haut du faisceau lumineux des phares au-dessus de la chaussée et l'angle maximal des phares pour déterminer la longueur de la courbe. La hauteur d'œil du conducteur est également prise en compte.
Les équations de distance de visibilité des phares suivantes sont utilisées pour créer des courbes à point bas.
où :
A = Différence algébrique en pourcentage de pente (%)
hd = Hauteur du faisceau lumineux des phares au-dessus de la chaussée en pieds (ou en mètres)
L = Longueur de la courbe verticale en pieds (ou en mètres)
S = Distance de visibilité en pieds (ou en mètres)
Ø = Angle de balayage du faisceau lumineux des phares par rapport au plan horizontal (généralement 1 degré)
L'équation suivante résout L lorsque la valeur de S est inférieure à L :

L'équation suivante résout S lorsque la valeur de S est inférieure à L :

L'équation suivante résout L lorsque la valeur de S est supérieure ou égale à L :

L'équation suivante résout S lorsque la valeur de S est supérieure ou égale à L :
