Calculs des axes d'articulation en unités métriques

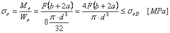
Contrainte de pliage

Pression dans la tige

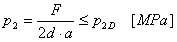
Pression dans la chape

Contrainte de cisaillement

où :

 

F

force [N]

 

σ 0

contrainte de pliage [MPa]

 

σ 0D

contrainte de pliage admissible [MPa]

 

M 0

moment de flexion [N mm]

 

W 0

module de coupe de flexion [mm 3 ]

  τ

contrainte de cisaillement [MPa]

 

τ D

contrainte de cisaillement admissible [MPa]

 

d

diamètre de la broche [mm]

 

p 1

pression dans la tige [MPa]

 

p 2

pression dans la chape [MPa]

 

p 1D

pression admissible dans la tige [MPa]

 

p 2D

pression admissible dans la chape [MPa]

 

b

largeur de la tige [mm]

 

a

largeur du bras de chape [mm]