L'option Laminé permet de définir une propriété de laminé composite. Cliquez sur le bouton Nouveau laminé dans la boîte de dialogue Idéalisations, ou cliquez avec le bouton droit de la souris sur Plis du composite/Laminés dans l'arborescence du modèle, puis choisissez Nouveau dans le menu contextuel. La boîte de dialogue Laminé s'ouvre.
- Les options de couche sont les suivantes :
- Ajouter : permet d'ajouter la couche.
- Matériau : permet de définir un nouveau matériau.
- Couche globale : permet de définir la couche globale comme indiqué dans l'image ci-dessous.
- Haut : permet de déplacer la couche sélectionnée d'un niveau vers le haut.
- Bas : : permet de déplacer la couche sélectionnée d'un niveau vers le bas.
- Sym : permet de créer la symétrie de la ou des couches sélectionnées.
- Antisymétrie : permet de créer l'antisymétrie de la couche ou des couches sélectionnées.
- Annuler : annule l'opération effectuée.
- Rétablir : rétablit l'opération effectuée.
- Supprimer : supprime la ou les couches sélectionnées.
- Couper : coupe la ou les couches sélectionnées.
- Copier : copie la ou les couches sélectionnées.
- Coller : colle la ou les couches coupées ou copiées.
- Importer : permet d'importer les détails de couche au format CSV.
- Exporter : permet d'exporter les détails de couche au format CSV.
- Répéter : permet de créer une couche multiple pour la ou les couches sélectionnées.
- Utiliser la couche globale : permet d'activer la colonne Couche globale.
- Superposition : permet d'inverser les couches de Bas de la superposition à Haut de la superposition. Cette opération inverse les couches visuellement. L'exportation du fichier Nastran est toujours au format Bas de la superposition.
- Cliquez sur Ajouter dans Options de couche pour démarrer la première définition de couche. Cette couche est la couche la plus en bas de la superposition.
- ID de couche : chaque couche du composé possède un ID unique. Ces ID sont automatiquement générés par Inventor Nastran dès qu'ils sont créés dans cette boîte de dialogue. Ils ne peuvent pas être modifiés.
- Matériau : chaque couche peut avoir un matériau différent. Pour sélectionner un matériau à partir de ce menu déroulant, il doit être prédéfini sous Matériaux.
- Epaisseur : chaque couche peut avoir sa propre valeur d'épaisseur.
- Angle : angle d'orientation de la couche. Cet angle est mesuré par rapport à l'angle d'orientation du matériau. Une couche d'angle zéro correspond à l'alignement de l'orientation du matériau.
- Contrainte/Déformation : permet de contrôler la sortie de contrainte sur chaque couche en activant ou en désactivant cette option.
-
Propriétés de laminé :
- Options de laminé : permet de définir différentes formes de laminés comme SYM, HCS, FCS, ACS, SME ou SMC.
- Si LAM = SYM, seules les couches sur un côté de la ligne centrale de l'élément sont spécifiées. Les couches sont numérotées à partir de 1 pour la couche du bas. Si un nombre impair de couches est souhaité avec LAM = SYM, alors l'épaisseur de la couche centrale (Ti) doit être égale à la moitié de l'épaisseur réelle.
- Si LAM = HCS, LAM = FCS ou LAM = ACS, un composite en sandwich est défini à des fins d'entrée d'indice de stabilité de feuille de couverture. HCS indique un matériau de base alvéolaire, FCS indique un matériau de base de formulaire et ACS sélectionne HCS ou FCS basé sur le matériau de base spécifié.
- Si LAM = SME, les effets de couche sont balayés et la séquence d'empilement est ignorée. Si LAM = SMC, un composite en sandwich est défini à l'aide de propriétés orthotropes équivalentes.
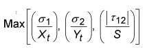
- Théorie de défaillance : théorie de défaillance de couches. Les théories suivantes sont autorisées. Si aucune valeur n'est indiquée, aucun calcul de défaillance n'est effectué. Hill est défini comme la théorie de défaillance par défaut.
- HILL pour la théorie de Hill.
Matériaux orthotropes avec des forces égales de traction et de compression.
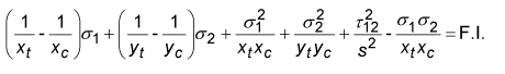
- HOFF pour la théorie de Hoffman.
Matériaux orthotropes dans un état général de contrainte de plan avec des forces de tension et de compression inégales.
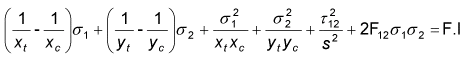
- TSAI pour la théorie Tsai-Wu.
Matériaux orthotropes dans un état général de contrainte de plan avec des forces de tension et de compression inégales.
- Contrainte max. pour la théorie de contrainte maximale.
- Déformation max. pour la théorie de déformation maximale.
- LARC02 pour la théorie NASA LaRC.
Matériaux orthotropes constitués de couches unidirectionnelles sous un état général de contrainte de plan. Pour plus de détails, consultez le Manuel d'utilisation d'Autodesk Nastran, référence 5.
- PUCK pour la théorie Puck PCP.
Matériaux orthotropes constitués de couches unidirectionnelles sous un état général de contrainte de plan. Pour plus de détails, consultez le Manuel d'utilisation d'Autodesk Nastran, références 12 et 13.
- MCT pour la théorie MultiContinuum.
Matériaux orthotropes constitués de couches unidirectionnelles ou de matières tressées simples sous un état général de contrainte de plan. Pour plus de détails, consultez le Manuel d'utilisation d'Autodesk Nastran, références 20, 21 et 22.
- Rapport de forces : contrôle la sortie du rapport de forces Tsai, qui est fourni à la place des indices de défaillance pour la sortie de résultats de couches d'éléments composites. Lorsque cette option est définie sur Activé, vous pouvez définir le paramètre PARAM,STRENGTHRATIO,ON et le rapport de forces Tsai est calculé. Le rapport de forces est considéré comme plus utile que l'indice de défaillance car il indique exactement comment changer le chargement appliqué pour obtenir des performances de couche optimales.
- Contrainte de cisaillement de limite admissible : cette valeur définit la contrainte de cisaillement interlaminaire d'un matériau de limite. Cette valeur est nécessaire pour obtenir le résultat d'indice de défaillance de limite.
- Distance de la fibre inférieure : représente la moitié de l'épaisseur totale par défaut. Elle peut être modifiée en cochant la case à gauche et en saisissant une nouvelle valeur dans la zone à droite.
- GE (Coef. d'amortissement) : cette valeur définit le coefficient d'amortissement d'élément structurel, qui est le double du rapport d'amortissement critique
à utiliser dans les analyses dynamiques. Il est prévu que cette fonctionnalité soit prise en charge dans les versions ultérieures.
- NSM : vous permet de définir la masse non structurelle par unité d'aire.
(Température de réf.) : cette valeur définit la température de référence des couches composites (toutes les couches) à utiliser pour des propriétés de matériau dépendant de la température. Cette fonctionnalité sera prise en charge dans les versions ultérieures.
(Epaisseur totale) : affiche l'épaisseur totale spécifiée dans le laminé.
Techniques de création de couche :
- Il existe de nombreuses manières de définir facilement les différentes propriétés des couches.
- Pour la première ligne, cliquez sur Ajouter, cliquez dans la colonne Matériau de la ligne, puis sélectionnez un matériau. Les valeurs par défaut pour les autres colonnes sont chargées automatiquement.
- Sélectionnez maintenant l'ID de couche 1.
- Saisissez 2 dans la zone située en regard du bouton de répétition (1 est la valeur par défaut), puis cliquez sur le bouton Répéter. La première ligne est copiée deux fois. La figure suivante illustre le résultat.
- Changez les angles sur 45, 0 et -45 de haut en bas.
- Sélectionnez à présent toutes les couches. Cliquez ensuite sur le bouton Symétrique.
- Cette opération génère des lignes symétriques des couches sélectionnées.
- La figure suivante illustre le résultat.
- De même, l'option Anti-symétrique produit des lignes symétriques, mais avec des signes opposés pour les angles de couche.
- Vous pouvez sélectionner plusieurs Couches, puis cliquer avec le bouton droit sur un champ à modifier. Sélectionnez ensuite Modifier.
- Modifiez les propriétés respectives d'une couche, toutes les propriétés correspondantes sont modifiées simultanément.
Exemple de boîte de dialogue Laminé :
- La configuration de superposition dans cet exemple a trois couches :
- Pour définir la configuration d'une propriété de plan composite à 3 couches, les entrées de la boîte de dialogue Laminé se présentent comme illustré ci-dessous. Notez que la propriété est définie du bas vers le haut.
- Notez que l'option Distance de la fibre inférieure est mise à jour automatiquement (-1/2 du total de l'épaisseur). Il s'agit de la distance entre le plan de référence et la surface inférieure. Couche 1 est la couche inférieure et la dernière couche définie est la couche supérieure (couche 3 dans ce cas).
- Cliquez sur le bouton Aperçu
pour afficher Afficher la superposition et Afficher la matrice ABD.
- Les options Afficher la superposition et Afficher la matrice ABD se développent individuellement lorsque vous cliquez sur
. Pour les réduire, cliquez sur le bouton
.
- Afficher la superposition : il s'agit de la représentation graphique des couches définies par l'affichage.
- Afficher la matrice ABD : les propriétés équivalentes du laminé sont affichées dans la matrice ABD avec le nombre de couches et l'épaisseur totale définis dans la couche.
- Menu contextuel : lorsque vous cliquez avec le bouton droit sur les lignes, le menu contextuel apparaît comme suit :
- Ajouter une couche : permet d'ajouter une nouvelle couche.
- Modifier : permet de modifier la propriété. Sélectionnez une propriété, par exemple matériau, couche globale, épaisseur, etc. Pour modifier la valeur de toutes les couches, faites une sélection multiple avec la fonction de modification.
- Convertir en couche globale : permet de convertir une couche normale en couche globale.
- Couper : coupe la ou les couches sélectionnées.
- Copier : copie la ou les couches sélectionnées.
- Coller : colle la ou les couches coupées ou copiées. Cette option comporte différentes options : Coller sur, Coller au-dessus, Coller en dessous, Coller symétriquement au-dessus, Coller symétriquement en dessous, Coller anti-symétriquement au-dessus et Coller anti-symétriquement en dessous.
- Annuler : annule l'opération effectuée.
- Rétablir : rétablit l'opération effectuée.
- Supprimer : supprime la ou les couches sélectionnées.
- Inverser les couches : permet d'inverser la ou les couches sélectionnées.