Calcul de l’armature des poutres-voiles - Principes

La méthode de calcul des poutres-voiles est basée sur les principes suivants, comme défini dans l’annexe E5 de la norme française BAEL 91.

Les définitions de symboles suivantes ont été adoptées dans la description des méthodes de calcul de la section d’acier des poutres-voiles :

lt

Longueur de la poutre-voile dans les axes des supports.

lo

Longueur de la poutre-voile à la surface des supports.

l

Longueur du calcul de la poutre-voile = min (lt ; 1,15 lo).

h

Hauteur de la poutre-voile.

bo

Largeur de la poutre-voile.

z

Bras des contraintes internes.

p

Charge uniforme, reconnaissance des coefficients de charge pour les charges constantes et variables.

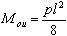
Moment issu de la charge "p".

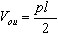
Effort tranchant initial de l’opération de charge "p".

Contrainte de cisaillement équivalente :

Rubrique connexe

Epaisseur minimale d’une poutre-voile.

Calculs de l’armature.