Lors de la conception d'un poteau BA soumis à la compression et au pliage, le programme vérifie indépendamment les trois sections transversales le long de la hauteur de poteau : en haut, en bas et dans la partie centrale (la position exacte de cette section croisée est déterminée par le moment conformément aux dispositions des normes).
En fonction des réglementations, la position de la section transversale et le fait que le poteau soit avec ou sans translation, déterminent si dans la section donnée l’influence des effets de second ordre sera prise en compte (évidemment, si l’élancement du poteau dépasse la valeur limite réglementaire).
La procédure la plus courante pour la majorité des normes BA se présente comme suit :
L’exception est par exemple la norme britannique BS dans laquelle l’influence de l’élancement est également prise en compte aux extrémités du poteau avec nœuds sans translation. Par contre, dans les normes ACI et CSA, pour la structure avec nœuds avec translation, une augmentation de l’influence de l’élancement pour la section transversale centrale peut survenir.
Pour ces trois sections transversales ainsi interprétées, les calculs d'armature sont effectués. L'armature est calculée dans le processus itératif ; le nombre d’itérations augmente jusqu'à ce que l'armature assure une résistance satisfaisante dans toutes les sections transversales du poteau, pour chacune des combinaisons.
La combinaison dimensionnante est interprétée comme un jeu de combinaisons des charges avec la position de la section transversale pour laquelle le taux de travail le plus important a lieu.
À trois sections transversales soumises au dimensionnement correspondent trois jeux de forces (c’est-à-dire de l’effort axial, des moments et éventuellement, des efforts tranchants) pour chaque combinaison dans le tableau de définition des charges.
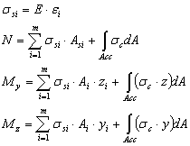
Le calcul de la résistance du poteau en flexion composée se fait suivant le schéma :


où : Acc est l’aire de la section comprimée (conformément au diagramme de la répartition s), E étant le module de Young.
La figure présente le diagramme rectangulaire des contraintes. Pour certaines normes, le diagramme parabolique-rectangulaire est présent.
La méthode réglementaire disponible pour la norme polonaise PN-B-03264 (2002) est une exception.
L’augmentation d'armature jusqu’à obtenir la résistance exigée (algorithme d’optimisation) se fait d’après le schéma suivant :