Modèle bilinéaire

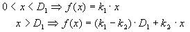
Les paramètres suivants du modèle bilinéaire sont définis pour les arguments positifs x>0. La valeur de la dérivée nécessaire pour définir la rigidité est également indiquée.

Fonction :

Dérivée (rigidité) :

Limitations :