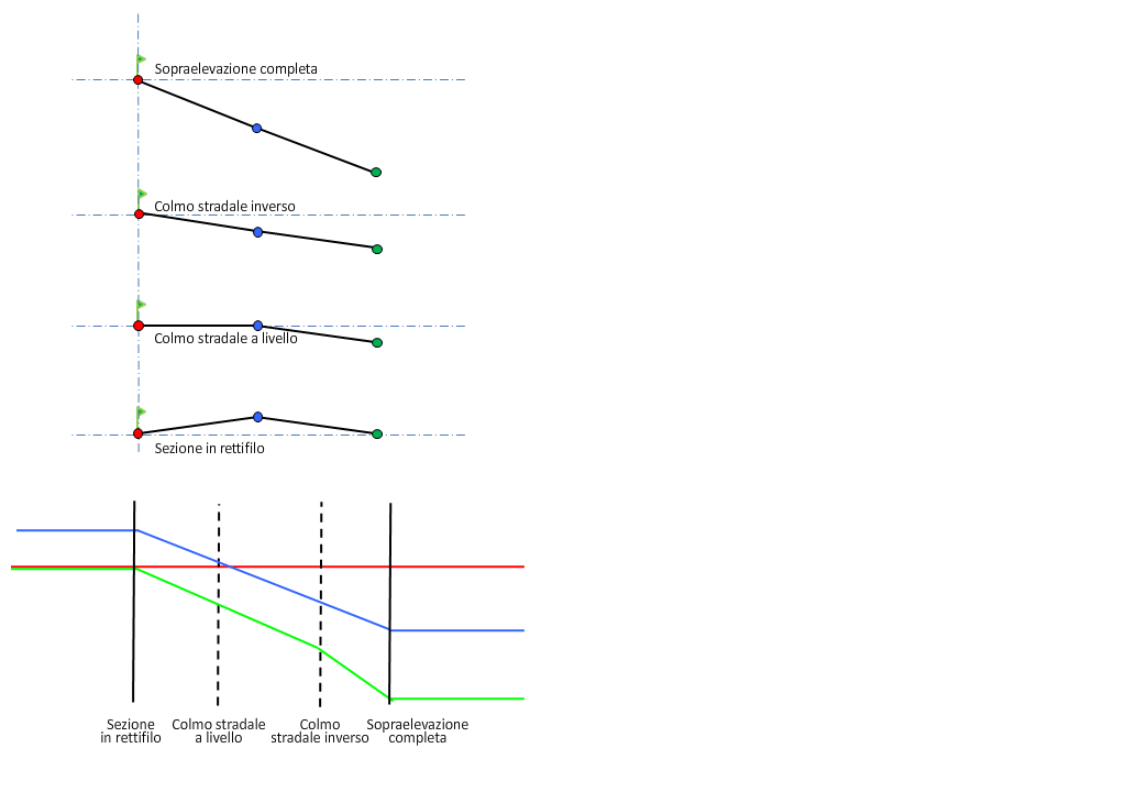
Nell'illustrazione che segue è rappresentato il metodo di rotazione All'esterno della curva per una sezione stradale a doppia falda e unica carreggiata.
Per una spiegazione dei diagrammi di sopraelevazione, vedere Informazioni sui metodi di rotazione dell'asse di sopraelevazione.
