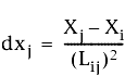
La modifica delle coordinate di ogni osservazione viene espressa nelle seguenti approssimazioni della serie di Taylor per l'equazione dell'osservazione dell'Azimut/orientamento:


e


dove
Nella seguente illustrazione viene mostrata la geometria per l'equazione dell'osservazione dell'Azimut/orientamento:
