Alberi: formule di calcolo

Queste formule vengono usate per risolvere un albero (con una o più sezioni) o una trave (con una sezione costante) munita di più supporti e carichi.

L'asse dell'albero o della trave è allineato con l'asse Z. Se l'impatto della densità del materiale è incluso nel calcolo, il vettore di gravità è allineato con l'asse Y.

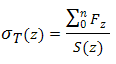
Forze di taglio:

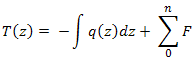
Momenti flettenti:

Angolo di deflessione:

dove:

 

E

modulo di elasticità in tensione

 

J

Momento di inerzia

 

G

modulo di rigidità

  β

coefficiente di spostamento di taglio

Deformazione:

Sollecitazione di flessione:

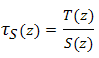
Sollecitazione a taglio:

Sollecitazione torsionale:

Sollecitazione di trazione:

Sollecitazione ridotta:

dove:

  σ B sollecitazione di flessione
  σ T

sollecitazione di trazione

  τ sollecitazione torsionale
  τ S sollecitazione a taglio
  α α = 3 per HMH
    α = 4 per Tresca-Guest

Calcolo campione

Modulo di elasticità E= 210.000 MPa

Modulo di rigidità G= 81.000 MPa

Coefficiente di spostamento di taglio β=1,118

Modalità di sollecitazione ridotta: HMH

Non includere la densità del materiale.

Forze di supporto:

Sollecitazione a taglio massima:

Sollecitazione torsionale massima:

Momento massimo:

Sollecitazione di flessione massima:

Sollecitazione ridotta massima:

Angolo di torsione: