Momento trasferito
dove:
|
P |
potenza [kW] |
|
|
n |
velocità [rpm] |
Calcolo del diametro minimo dell'albero
1. diametro interno dell'albero d h > 0
a)
b) se d min ≤d h -> d min = 1,1 d h [mm]
c) se d min ≤ 1,5 d h -> d min = 1,5 d h [mm]
2 diametro interno dell'albero d h = 0

dove:
|
d min |
diametro albero minimo [mm] |
|
|
d h |
diametro interno albero [mm] |
|
|
T |
momento [Nm] |
|
|
K a |
fattore di applicazione |
|
|
K f |
fattore di fatica di usura |
|
|
S v |
sicurezza desiderata |
|
|
τ A |
Sollecitazione a taglio ammissibile |
Calcolo generale
|
|
intervallo dell'azione della forza sull'albero |
|
k = |
intervallo dell'azione della forza sul mozzo |
![]() |
diametro albero dell'intervallo dell'azione della forza |
![]() |
diametro mozzo dell'intervallo dell'azione della forza |
|
|
forza sull'albero |
|
|
forza sul mozzo |
|
dove: |
|
T |
momento [Nm] |
|
|
F s |
forza sull'albero [N] |
|
|
F h |
forza sul mozzo [N] |
|
|
K a |
fattore di applicazione |
|
|
K f |
fattore di usura |
|
|
K w |
fattore di applicazione |
|
|
K m |
fattore di distribuzione del carico |
|
|
S v |
sicurezza desiderata |
|
|
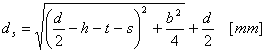
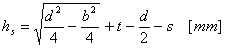
d |
diametro albero [mm] |
|
|
d s |
F s |
|
|
d h |
diametro albero in cui la forza F d agisce [mm] |
|
|
N |
numero di scanalature [-] |
|
|
h |
altezza scanalatura |
|
|
h s |
altezza del punto di azione della forza sull'albero [mm] |
|
|
h h |
altezza del punto di azione della forza sul mozzo [mm] |
|
|
b |
larghezza della scanalatura |
|
|
t |
profondità della scanalatura nell'albero [mm] |
|
|
s |
smusso |
|
|
p Dmins |
pressione ammissibile minima (scanalatura, albero) [MPa] |
|
|
p Dminh |
pressione ammissibile minima (scanalatura, mozzo) [MPa] |
Lunghezza minima della chiavetta per trasferire il momento
|
1. Connessione fissa: |
a) |
|
b) |
|
|
L min = min(L mins , L minh ) |
|
|
2. Connessione flessibile: |
a) |
|
b) |
|
|
L min = min(L mins , L minh ) |
|
|
dove: |
|
F s |
forza sull'albero [N] |
|
|
F h |
forza sul mozzo [N] |
|
|
K a |
fattore di applicazione |
|
|
K f |
fattore di usura |
|
|
K w |
fattore di applicazione |
|
|
K m |
fattore di distribuzione del carico |
|
|
S v |
sicurezza desiderata |
|
|
d |
diametro albero [mm] |
|
|
N |
numero di scanalature [-] |
|
|
h s |
altezza del punto di azione della forza sull'albero [mm] |
|
|
h h |
altezza del punto di azione della forza sul mozzo [mm] |
|
|
p Dmins |
pressione ammissibile minima (scanalatura, albero) [MPa] |
|
|
p Dminh |
pressione ammissibile minima (scanalatura, mozzo) [MPa] |
Pressione ammissibile minima
|
1. Connessione fissa: |
a) |
|
b) |
|
|
2. Connessione flessibile: |
a) |
|
b) |
|
|
dove: |
|
F s |
forza sull'albero [N] |
|
|
F h |
forza sul mozzo [N] |
|
|
K a |
fattore di applicazione |
|
|
K f |
fattore di usura |
|
|
K w |
fattore di applicazione |
|
|
K m |
fattore di distribuzione del carico |
|
|
S v |
sicurezza desiderata |
|
|
d |
diametro interno della sezione della scanalatura [mm] |
|
|
N |
numero di scanalature [-] |
|
|
h s |
altezza del punto di azione della forza sull'albero [mm] |
|
|
h h |
altezza del punto di azione della forza sul mozzo [mm] |
|
|
l f |
lunghezza chiavetta attiva [mm] |
Verifica della resistenza
p mins ≤ p Ds
p minh ≤ p Dh
dove:
|
p mins |
minima pressione di taglio calcolata nell'albero [MPa] |
|
|
p minh |
minima pressione di taglio calcolata nel mozzo [MPa] |
|
|
p Ds |
pressione ammissibile nell'albero [MPa] |
|
|
p Dh |
pressione ammissibile nel mozzo [MPa] |
Calcolo semplificato
Lunghezza minima della chiavetta per trasferire il momento
|
1. Connessione fissa: |
![]() |
|
2. Connessione flessibile: |
![]() |
|
dove: |
|
T |
momento [Nm] |
|
|
K a |
fattore di applicazione |
|
|
K f |
fattore di usura |
|
|
K w |
fattore di applicazione |
|
|
K m |
fattore di distribuzione del carico |
|
|
S v |
sicurezza desiderata |
|
|
d |
diametro albero [mm] |
|
|
N |
numero di scanalature [-] |
|
|
h |
altezza scanalatura |
|
|
s |
smusso |
|
|
h st |
altezza connessione h st = h - 2 s [mm] |
|
|
p Dmin |
pressione ammissibile sulla superficie di supporto dell'albero, scanalatura o mozzo [MPa] |
Pressione ammissibile
|
1. Connessione fissa: |
![]() |
|
2. Connessione flessibile: |
![]() |
|
dove: |
|
T |
momento [Nm] |
|
|
K a |
fattore di applicazione |
|
|
K f |
fattore di usura |
|
|
K w |
fattore di applicazione |
|
|
K m |
fattore di distribuzione del carico |
|
|
S v |
sicurezza desiderata |
|
|
d |
diametro albero [mm] |
|
|
N |
numero di scanalature [-] |
|
|
h |
altezza scanalatura |
|
|
s |
smusso |
|
|
h st |
altezza connessione h st = h - 2 s [mm] |
|
|
l f |
lunghezza chiavetta attiva [mm] |
Verifica della resistenza
p min ≤ p Ds
p min ≤ p Dh
dove:
|
p min |
minima pressione h/2 calcolata [MPa] |
|
|
p Ds |
pressione ammissibile nell'albero [MPa] |
|
|
p Dh |
pressione ammissibile nel mozzo [MPa] |