Catena a rulli: calcoli di base

Costruzione delle catene

Il Generatore catena a rulli è stato ideato per progettare unità catena a rulli e a boccole. Le catene possono presentare catene affiancate singole o multiple. Sono supportate anche le catene a passo doppio. Nell'immagine seguente è illustrata la costruzione tipica di catene a rulli e a boccole. La differenza principale consiste nel fatto che la catena a boccole è priva di rulli.

Componenti della catena a boccole

Componenti della catena a rulli

  1. piastra esterna
  2. piastra interna
  3. perni del cuscinetto
  4. boccola
  5. rullo

Se la lunghezza della catena corrisponde ad un numero di passi pari, è possibile utilizzare il collegamento di connessione per congiungere due estremità della catena. Di norma, la capacità di potenza della catena non viene ridotta.

Se la lunghezza della catena corrisponde ad un numero di passi dispari, è possibile utilizzare un collegamento di compensazione ad un'estremità della catena. Quindi, è possibile utilizzare il collegamento per congiungere due estremità della catena. Di norma, il collegamento di compensazione riduce la capacità di potenza della catena. Il valore della riduzione di potenza è dato dal tipo e dalla costruzione del collegamento di compensazione. Si consideri la riduzione della capacità di potenza della catena necessaria per diminuire il fattore di costruzione della catena.

Tensione di carico ripetuta

Le catene nelle unità catena vengono caricate da tensione ciclica in modo che la catena sia soggetta a fatica. Nell'immagine seguente è illustrato un diagramma del carico tipico. Il diagramma del carico può variare a seconda degli scheletri dell'unità.

Usura

L'usura costituisce un fattore importante nella progettazione di unità catena a rulli. In genere, l'usura colpisce principalmente i giunti e le ruote dentate delle catene a rulli.

L'usura dei giunti della catena provoca l'allungamento della catena. Le ruote dentate per i rulli catena sono state progettate per accettare fino al 3% (1,5% per catene a passo doppio) di allungamento della catena causato da usura. Quando la catena supera tale limite di allungamento, non è più possibile inserirla sulle ruote dentate, di conseguenza il sistema non funziona correttamente. L'usura dei giunti della catena di ruote dentate o unità grandi con interasse fisso può essere causata da diversi fattori. Se è necessario sostituire la catena usurata, si consiglia di sostituire anche le ruote dentate.

Usura dei giunti della catena

Con usura delle ruote dentate si intende la modifica della forma dei denti, ovvero quando questi ultimi cominciano ad assumere una forma ricurva. Le ruote dentate dei tendicatena solitamente si usurano nella parte inferiore dello spazio dente. Quando l'usura dello spazio dente è sufficientemente profonda, i rulli della catena possono aderire alle parti superiori del dente poiché essi entrano ed escono dalla ruota dentata del tendicatena. L'usura delle ruote dentate può generare dei carichi da shock sulla catena. Talvolta invertendo la ruota dentata usurata sull'albero se ne prolunga la durata.

Ruota dentata usurata dell'unità catena a rulli

Ruota dentata usurata del tendicatena della catena a rulli

Lubrificazione

Per una durata maggiore della catena, è necessario che l'unità catena sia ben lubrificata. Una buona lubrificazione si ottiene applicando il lubrificante appropriato laddove è più necessario. Il problema principale è ottenere una quantità sufficiente di lubrificante pulito sulle superfici portanti di perni, boccole e rulli.

Lubrificazione manuale: l'olio viene applicato abbondantemente con una spazzola o un oliatore almeno ogni otto ore di funzionamento. La trasmissione si arresta e l'alimentazione dell'unità si blocca. Il volume e la frequenza devono essere tali da impedire il surriscaldamento della catena o la formazione di ruggine nei giunti della catena.

Lubrificazione a goccia: l'olio viene fatto gocciolare continuamente sulle estremità superiori delle piastre di collegamento o sulle barre laterali tramite un lubrificatore a goccia. Il volume e la frequenza devono essere tali da impedire la formazione di ruggine del lubrificante applicato ai giunti della catena. Di norma, si aggiungono da 4 a 20 o più gocce al minuto. È necessario prendere le dovute precauzioni contro gli spostamenti d'aria che inducono le gocce a prendere una direzione sbagliata.

Lubrificazione a bagno d'olio: la parte inferiore della catena affiancata scorre attraverso il pozzetto dell'olio incluso nell'alloggiamento dell'unità. Durante il funzionamento, il livello dell'olio deve raggiungere il punto più basso della linea passo della catena.

Lubrificazione a disco: la catena opera al di sopra del livello dell'olio. Solitamente, per mezzo di un passante, il disco preleva l'olio dal pozzetto e lo deposita sulla catena. Il diametro del disco deve essere tale da produrre una velocità adeguata per prelevare l'olio efficacemente. Le velocità elevate possono produrre schiuma e far surriscaldare l'olio.

Lubrificazione forzata: il lubrificante viene somministrato da una pompa circolante in grado di fornire un flusso di olio continuo all'unità catena. L'olio deve essere diretto alla catena affiancata allentata e applicato all'interno dell'anello della catena nonché su tutta la larghezza della catena, affinché raggiunga tutte le superfici portanti. All'occorrenza è possibile utilizzare un refrigerante ed un filtro dell'olio.

L'olio lubrificante deve essere privo di sostanze contaminanti, in particolare le particelle abrasive.

La classe di viscosità dell'olio lubrificante dell'unità catena viene definita in base alla temperatura ambiente come:

Temperatura ambiente [°C]

-5 t +5

+5 t +25

+25 t +45

+45 t +70

Classe di viscosità dell'olio

VG 68 (SAE 20)

VG 100 (SAE 30)

VG 150 (SAE 40)

VG 220 (SAE 50)

Nella seguente tabella è riportata la lubrificazione consigliata adeguata alle dimensioni ed alla velocità della catena:

dove:

A) Intervallo di lubrificazione manuale. La velocità massima della catena è

ν = 2,8 p -0,56

B) Intervallo di lubrificazione a goccia. La velocità massima della catena è

ν = 7 p -0,56

C) Intervallo di lubrificazione a bagno d'olio o disco. La velocità massima della catena è

ν = 35 p -0,56

D) Intervallo di lubrificazioni forzate.

Nell'immagine seguente è illustrata la progressione dell'usura del giunto della catena per la durata utile della catena rispetto alla qualità di lubrificazione.

dove:

 

a

Nessuna catena lubrificata in un ambiente abrasivo sporco

 

b

Lubrificazione della catena insufficiente

 

c

Catena lubrificata adeguatamente

Di norma, quando si inizia ad utilizzare la catena l'usura progredisce rapidamente. Questa fase è nota come usura iniziale. Secondo una misura adottata da alcuni manifatturieri, è possibile precaricare la catena per ridurne l'usura iniziale. Tale operazione è in grado di aumentare la durata utile della catena.

Il giunto della catena continua poi ad usurarsi, ma in modo più lento. Questa è l'usura normale. Se la catena viene lubrificata adeguatamente, l'usura del giunto aumenta regolarmente fino al termine della durata utile della catena. Alla fine della durata utile di una catena, l'usura del giunto riprende a progredire rapidamente.

Resistenza massima a trazione della catena F U

La resistenza massima a trazione della catena consiste nel peso più elevato che la catena è in grado di sostenere in una singola applicazione prima di spezzarsi. Il carico operativo ed il carico di misurazione non sono ammissibili. Il valore principale della resistenza minima garantisce che la catena sia stata montata correttamente. Il valore minimo di resistenza massima a trazione viene utilizzato dal Generatore catena a rulli per determinare i fattori di sicurezza dalla rottura della catena. Inoltre, utilizzando dei fattori aggiuntivi esso calcola la durata utile prevista dei collegamenti catena o la fatica delle piastre di collegamento.

Il valore di default della resistenza massima a trazione viene derivato dalle raccomandazioni standard per determinate dimensioni di catena, ma è possibile anche ricavare tale parametro dalle specifiche fornite dal produttore della catena in uso. La resistenza a trazione di catene della stessa dimensione può variare a seconda del produttore e dei materiali utilizzati.

Massa m specifica della catena

La massa specifica della catena dipende dalle dimensioni della catena, dalla costruzione e dal materiale. Il valore di default viene derivato dalle raccomandazioni standard oppure si tratta del valore più vicino alle catene di acciaio prodotte nel settore. La massa specifica viene utilizzata per calcolare la forza centrifuga, nonché per l'analisi della vibrazione.

Fattore di costruzione catena Φ

Il fattore di costruzione della catena descrive la qualità effettiva della catena. Interessa direttamente il valore di potenza della catena, così come la pressione ammissibile sull'area portante della catena stessa. Generalmente il fattore equivale ad uno. Esso è maggiore di uno se la catena è realizzata in materiale più resistente oppure se la qualità della catena è migliore rispetto agli standard nazionali.

Valore di potenza della catena P R

Il valore di potenza della catena rappresenta il livello della capacità della catena in condizioni operative specifiche. Generalmente, la capacità della catena è limitata dalla fatica della piastra di collegamento, dalla fatica da impatto del rullo e della boccola e dallo sfregamento tra perni e boccole. Vedere la tabella dei valori di potenza tipici nell'immagine seguente.

dove:

 

A

capacità di potenza dell'unità catena limitata dalla fatica della piastra di collegamento

 

B

capacità di potenza dell'unità catena limitata dalla fatica da impatto del rullo e della boccola

 

C

capacità di potenza dell'unità catena limitata dallo sfregamento tra perni e boccole

Fattori di correzione della potenza

Le equazioni del valore di potenza della catena forniscono la capacità di potenza valida per le unità catena che funzionano in condizioni operative normali specifiche. Se l'unità catena funziona in condizioni operative diverse da quelle normali, è necessario introdurre i fattori di correzione della potenza riportati di seguito.

Condizioni operative normali:

  1. Un'unità catena dotata di due ruote dentate montate su alberi orizzontali paralleli.
  2. Una ruota dentata piccola di 19 denti.
  3. Una catena monodirezionale priva di collegamento a maglia falsa.
  4. Lunghezza della catena di:

    120 passi per le catene ISO,

    100 passi per le catene ANSI e CSN.

  5. Un rapporto di velocità di 1:3 o 3:1.
  6. Una durata utile prevista di:

    15000 ore per le catene ISO, ANSI e DIN.

    10000 ore per le catene CSN.

  7. Una temperatura operativa compresa tra -5 ºC e +70 ºC.
  8. Ruote dentate ben allineate e catena mantenuta sulla giusta regolazione.
  9. Funzionamento uniforme senza sovraccarichi, shock o avvii frequenti.
  10. lubrificazione adeguata durante tutta la durata utile della catena;

Fattore di shock Y

Il fattore di servizio tiene conto dei sovraccarichi dinamici che dipendono dalle condizioni operative dell'unità catena e dalle caratteristiche delle macchine conduttrice e condotta. Il fattore di shock viene utilizzato per determinare le dimensioni del fattore di servizio, così come il fattore di sicurezza dinamico. I carichi massimi causati da shock e sovraccarichi massimi imprevisti possono aumentare notevolmente nel caso si verifichino lunghi momenti di inerzia della macchina conduttrice o condotta. Per impostazione predefinita, il fattore di shock viene determinato dal Generatore catene in base alla seguente tabella.

Y

Applicazione

1,0

Funzionamento uniforme

1,5

Funzionamento uniforme con shock occasionali

2,0

Shock lievi, sovraccarichi massimi temporanei moderati

3,0

Shock moderati, sovraccarichi massimi temporanei forti

4,0

Shock intensi, sovraccarichi massimi costanti moderati

5,0

Shock intensi, sovraccarichi massimi costanti forti

Fattore di servizio f 1

Il fattore di servizio tiene conto dei sovraccarichi dinamici che dipendono dalle condizioni operative dell'unità catena e risultanti soprattutto dalla natura degli elementi conduttori e condotti. Dalla seguente tabella è possibile selezionare direttamente il valore del fattore.

Caratteristiche della macchina condotta

Caratteristiche della macchina conduttrice

Funzionamento uniforme

Shock lievi

Shock moderati

Funzionamento uniforme

1,0

1,1

1,3

Shock moderati

1,4

1,5

1,7

Shock intensi

1,8

1,9

2,1

Definizioni delle caratteristiche delle macchine conduttrici

Caratteristiche della macchina conduttrice

Esempi di tipi di macchine

Funzionamento uniforme

Motori elettrici, turbine a vapore e a gas e motori a combustione interna con accoppiamento idraulico

Shock lievi

Motori a combustione interna con sei o più cilindri ad accoppiamento meccanico, motori elettrici soggetti ad avvii frequenti (più di due al giorno)

Shock moderati

Motori a combustione interna con sei o meno cilindri ad accoppiamento meccanico

Definizioni delle caratteristiche delle macchine condotte

Caratteristiche della macchina condotta

Esempi di tipi di macchine

Funzionamento uniforme

Pompe centrifughe e compressori, macchine da stampa, nastri trasportatori con carico distribuito uniformemente, calandre per carta, scale mobili, agitatori e miscelatori di liquidi, essiccatori rotativi, ventilatori

Shock moderati

Pompe e compressori a stantuffo dotati di tre o più cilindri, betoniere, trasportatori con carico non uniforme, agitatori e miscelatori di solidi.

Shock intensi

Escavatrici; mulini a cilindri e a palle; macchine di lavorazione della gomma; piallatrici, presse, cesoie, pompe, compressori ad uno o due cilindri, anelli raschiaolio

Per impostazione predefinita, il fattore di servizio viene determinato in conformità al fattore di shock, come illustrato nella seguente tabella:

dove:

 

Y

fattore di shock [-]

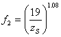
Fattore di dimensione ruota dentata f 2

Il fattore di dimensione della ruota dentata tiene conto del numero di denti presenti sulla ruota dentata piccola. Il fattore è uguale ad uno se le equazioni del valore di potenza considerano il numero di denti della ruota dentata minore dell'unità. Le dimensioni della ruota dentata minore possono avere un impatto specifico su ciascuna parte del valore di potenza della catena.

Se si crea un valore di potenza personalizzato, è necessario rivedere anche il fattore di dimensione della ruota dentata. Se si specifica il valore di potenza ricavato dalle tabelle in base al numero di denti della ruota dentata minore, il fattore dovrebbe rimanere uguale ad uno. Se il valore di potenza fornito è stato ricavato dalla tabella, dove non viene considerato il numero di denti della ruota dentata minore, può essere necessario regolare le dimensioni del fattore. Il fattore di dimensione della ruota dentata incide sulla potenza del progetto. Per impostazione predefinita, il Generatore catene determina le dimensioni del fattore come riportato nella seguente tabella:

dove:

 

z s

Numero di denti sulla ruota dentata minore [-]

Fattore catene affiancate multiple f 3

Per impostazione predefinita, i valori di potenza per le catene con catena affiancata singola si ottengono mediante equazioni del valore di potenza. I valori di potenza per le catene con catene affiancate multiple equivalgono ai valori della catena affiancata singola moltiplicati per il fattore delle catene affiancate multiple. Per impostazione predefinita, il programma utilizza una tabella integrata, come illustrato nella tabella seguente. Il fattore di catene affiancate multiple viene utilizzato anche per analizzare la durata utile prevista.

Catene affiancate

1

2

3

4

5

6

f 3 [-]

1

1,7

2,5

3,3

3,9

4,6

Fattore di lubrificazione f 4

Il fattore di lubrificazione indica quanto la lubrificazione inadeguata incida sulla capacità di potenza della catena, nonché sulla sua durata utile. Se è selezionata la lubrificazione adeguata, le dimensioni del fattore equivalgono ad uno e non incidono sull'analisi. Se è necessario utilizzare la lubrificazione inadeguata, il fattore riduce il valore di potenza della catena limitato dallo sfregamento tra perni e boccole oppure il fattore aumenta tutta la potenza del progetto. Per impostazione predefinita, il programma utilizza la seguente tabella prestabilita per indicare l'impatto della lubrificazione selezionata.

Velocità catena

[m/s]

Fattore di lubrificazione [-]

Lubrificazione

Nessuna lubrificazione

Configurazione consigliata

Insufficiente

Ambiente pulito

Ambiente sporco

fino a 4

1

0,6

0,3

0,15

fino a 7

0,3

0,15

Inammissibile

fino a 12

Inammissibile

più di 12

Fattore interasse f 5

L'interasse minimo corrisponde alla metà della somma dei diametri delle ruote dentate esterne per evitare che si creino interferenze tra i denti. Per assicurare una disposizione adeguata sulla ruota piccola (circa 120 gradi), è consigliabile che l'interasse minimo corrisponda alla somma del diametro esterno della ruota dentata grande più la metà del diametro esterno della ruota dentata piccola.

È buona norma impostare l'interasse su 30-50 volte il passo della catena. L'interasse utile più lungo è di circa 80 volte il passo della catena perché l'allentamento e la tensione della catena possono estendersi molto.

Il fattore interasse corregge la potenza del progetto e tiene conto della differenza dell'interasse effettivo da quello normale. Il fattore interasse è determinato dalla modifica della distribuzione della tensione di carico ed il relativo impatto sulla fatica della catena. Per impostazione predefinita, il fattore interasse è determinato nel modo seguente.

dove:

 

f 5

fattore interasse [-]

 

X B

numero di collegamenti catena in condizioni operative normali [-]

 

X

numero di collegamenti catena effettivo nell'unità [-]

Fattore rapporto f 6

Il fattore rapporto corregge la potenza del progetto e tiene conto della differenza del rapporto di trasmissione da quello normale. Il fattore rapporto è determinato dalla modifica della distribuzione della tensione di carico ed il relativo impatto sulla fatica della catena. Per impostazione predefinita, il fattore rapporto rispetto al rapporto di trasmissione effettivo è determinato in base alla tabella riportata di seguito.

Il rapporto di trasmissione è dato dal numero di denti della ruota dentata conduttrice e condotta.

per z 1 < z 2 i = z 2 / z 1

per z 1 > z 2 i = z 1 / z 2

dove:

 

f 6

fattore rapporto [-]

 

i

rapporto di trasmissione [-]

 

z 1

numero di denti della ruota dentata conduttrice [-]

 

z 2

numero di denti della ruota dentata condotta [-]

Fattore durata utile f 7

Il fattore durata utile corregge la potenza del progetto e tiene conto della differenza della durata utile richiesta da quella normale. Per impostazione predefinita, il fattore rapporto è determinato nel modo seguente.

dove:

 

f 7

Fattore durata utile [-]

 

L h

Durata utile richiesta [ore]

 

L hB

Durata utile normale prevista [ore]

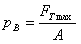
Analisi della pressione nell'area portante della catena

Durante il funzionamento dell'unità catena, il carico di trazione fluttuante agisce sulle superfici comprese tra i perni e le boccole definendo le dimensioni specifiche della pressione dell'area portante della catena. Se tale pressione supera il valore ammissibile nell'area portante della catena, la durata utile della catena può diminuire notevolmente. La quantità di pressione effettiva nell'area portante della catena viene calcolata dalla tensione massima presente nel raggio della catena, come indicato di seguito

dove:

 

p B

Pressione effettiva nell'area portante della catena [Pa]

 

F Tmax

Tensione massima nel raggio della catena indicato [N]

 

A

Area portante della catena [m 2 ]

Area portante della catena A

L'area portante della catena viene definita dalla larghezza del collegamento della catena interno e dal diametro del perno. Per ciascuna catena all'interno dei file di dati XML sono definiti i valori reali.

A = b 2 d 2

dove:

A Area portante della catena [m 2 ]

b 2 Larghezza del collegamento della catena interno [m]

d 2 diametro perno catena [m]

Pressione ammissibile nell'area portante della catena p 0

Nella seguente tabella sono illustrati i valori della pressione ammissibile nell'area portante della catena, che sono validi solo in condizioni operative normali. In condizioni operative specifiche, il valore viene corretto dal fattore di attrito λ dal quale viene ricavata la pressione ammissibile totale. La pressione ammissibile totale viene quindi confrontata con la pressione effettiva presente nell'area portante della catena.

È possibile utilizzare la pressione ammissibile specificata per catene di acciaio comuni. Per le catene realizzate in materiali diversi, può essere necessario regolare la pressione ammissibile di conseguenza.

La pressione ammissibile ottenuta dalla tabella riportata sopra viene corretta anche dal fattore di costruzione della catena in modo che la quantità di pressione ammissibile sia definita nel modo seguente.

p 0 = p B0 φ

dove:

 

p 0

Pressione ammissibile nell'area portante della catena in condizioni operative normali [Pa]

 

p B0

Pressione ammissibile specifica nell'area portante della catena in condizioni operative normali [Pa]

  φ

Fattore di costruzione della catena [-]

Fattore di attrito specifico λ

Il fattore di attrito specifico corregge la pressione ammissibile nell'area portante della catena. Le dimensioni del fattore dipendono dalla differenza delle condizioni operative effettive rispetto a quelle normali e vengono definite nel modo seguente.

dove:

  λ

Fattore di attrito specifico [-]

 

f 1

Fattore di servizio [-]

 

f 4

Fattore di lubrificazione [-]

 

f 5

Fattore interasse [-]

 

f 6

Fattore rapporto [-]

 

f 7

Fattore durata utile [-]