The algorithm of wall calculations (non-seismic loads)

The basic dimensions of walls are presented in the following drawing.

It is assumed that:

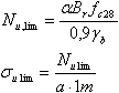
Individual steps of the calculation algorithm for walls subjected to non-seismic loads are as follows: