External compressible flow can be classified into two categories:
Unlike internal flows, both types involve flow that passes over and around a device (instead of through it). Examples include flow over a wing, missile, or aircraft nacelle.
The strategies for solving open-air and wind tunnel analyses differ slightly in the domain size and typical inlet condition.
For open air applications, the solution domain is not defined as part of the model (unlike a wind-tunnel). There are some basic guidelines that drive the size of the domain based on the dimensions of the device. These are only guidelines, and are subject to some variability depending on the circumstances.


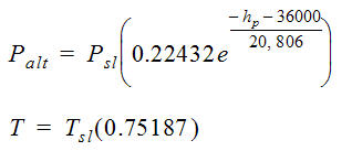
-1000 ft < hp < 36,000 ft:

hp = altitude in feet;
Palt = static pressure at altitude
Talt = static temperature at altitude
Psl = pressure at sea level
Tsl = temperature at sea level
36,000 ft < hp < 65,000 ft:

If not solving for heat transfer, be sure to specify the total temperature on the Solve task dialog. Total Temperature is computed using this equation:

The inlet is typically fed from a blow-down tank.
Inlet: Specify total pressure (Pt). (The total pressure will be the static pressure of the non-moving air within the tank.) If the velocity is known, specify it as well.
Outlet: Specify static pressure (P = 0)
Specify the Environment Pressure to be the ambient pressure in the wind-tunnel:
For heat transfer, specify the total temperature at the inlet.
If the object has an angle of attack relative to the flow, it is better to re-orient the calculation domain instead of the object. The domain orientation should be that the free-stream velocity and the domain sides are parallel:

For all cases, select Variable on the Material Environment dialog:
We recommend these techniques to improve accuracy of the drag calculation:
The region around the object must be meshed with a very fine mesh. More streamlined bodies require the mesh near the stagnation point of the body to be highly refined to capture the rapidly changing coefficient of pressure.
Invoke the SST k-omega turbulence model:
Specify at least 10 layers on the Wall Layers dialog:
Invoke the ADV5 advection scheme:
Enable Mesh Adaptation. This option progressively refines the mesh over the course of several iterations of the simulation. The result is a mesh-independent solution. Note that this option can be computationally intensive, and can take longer than a single execution of the mesh.
Related Topics