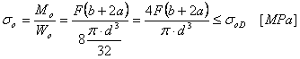
曲げ応力
棒圧力
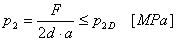
クレビス圧力
せん断応力
ここで
F |
力[N] |
|
σ 0 |
曲げ応力[MPa] |
|
σ 0D |
許容曲げ応力 [MPa] |
|
M 0 |
曲げモーメント[N mm] |
|
W 0 |
曲げ断面係数[mm 3 ] |
|
τ |
せん断応力[MPa] |
|
τ D |
許容せん断応力[MPa] |
|
d |
ピン径[mm] |
|
p 1 |
棒圧力[MPa] |
|
p 2 |
クレビス圧力[MPa] |
|
p 1D |
許容棒圧力[MPa] |
|
p 2D |
許容クレビス圧力[MPa] |
|
b |
棒幅[mm] |
|
a |
クレビス アーム幅[mm] |