この材料タイプは陽解法解析ではサポートされていません。[タイプ]ドロップダウンから[ソリッド要素直交性]を選択すると、次の材料セクションを使用できます: [一般]、[剛性]、[せん断]、[ポアソン比]、[熱膨張]、[許容値]、[熱]。
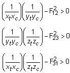
材料の安定性には、次を満たす必要があります。
いずれかの条件が満たされていない場合は、警告メッセージが表示されます。
9 つの直交異方性のすべての定数を見つけるのは困難な場合があります。実用的な問題では、材料が平面(つまり、平面 1-2)で等方性であり、この平面に対して法線方向では異なる特性を持つ法線方向の異方性にまで、材料特性を低減できる場合があります。等方性の平面では、特性は次にまで低減されます。
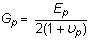
で
です。
法線方向の異方性には 5 つの独立した材料定数があります(つまり、
、
、
、
、
、
)。材料に材料が平面でのみ直交異方性となる平面の異方性がある場合、弾性定数は 7 つに低減されます(つまり、
、
、
、
、
、
、
)。
この理論の使用を複雑化しています。この理由から、F12、F23、F31 をゼロに設定することをお勧めします。
熱解析では、熱伝導率マトリックス、比熱、および質量密度の値を[熱]セクションで入力できます。質量密度は構造解析および熱解析内の要件である場合があるため、繰り返し使用されます。