Autodesk® CFD は Navier-Stokes (N-S)方程式を数値的に解きます。このN-S方程式は、流体が連続であることを仮定しています。真空状態や非常に圧力の低い状態での流れでは、流体は連続体ではなく、個々の気体分子の運動を考慮しなければなりません。この仮定は、流体の平均自由行程が特性長さの10倍以下の場合には、計算精度が大幅に低下する結果となります。
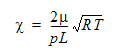
平均自由行程の特性を表すには、以下のように定義される無次元の値、
を使用します。

文字の定義は、以下の通りです。
| 文字 | 解説 |
![]() | 無次元バキューム数 |
![]() | 粘性係数 |
| p | 静圧 |
| L | 代表長さ(水力直径) |
| R | ガス定数 <:so>がすていすう |
| T | 温度 |
の値に対し、ナビエストークス方程式が流れに適用できるか否かについて、次の表に示します。
範囲 | 流れの状態 |
< 0.014 | 流れは連続的で、ナビエストークス方程式に支配されます。 |
0.014 < <1.0 | 固体表面で滑りが発生するが、まだナビエストークス方程式で記述可能な範囲です。 |
>1.0 | 連続体であるとは言えず、ナビエストークス方程式では表現できません。 |