벨트 길이는 데이텀 시스템이나 유효 시스템에서 결정됩니다. 따라서 각 풀리에는 데이텀 지름이나 유효 지름이 먼저 결정됩니다. 벨트 궤적은 개별 풀리 위치를 기준으로 합니다. 슬라이딩 풀리 위치는 표준 벨트 길이 기준을 만족하도록 조정됩니다. 계산에서는 반복된 방법을 사용하여 원하는(또는 현재) 슬라이딩 풀리 위치와 가장 가까운 슬라이딩 풀리 위치를 찾아냅니다.
풀리 지름
|
|
그루브 풀리 |
|
D e = D w + 2 h w |
|
|
D p = D w + 2 a |
|
|
D d = D w |
|
|
|
시계 방향 플랫 풀리 |
|
D e = D + 2 h |
|
|
D p = D + 2 (h - h w + a) |
|
|
D d = D + 2(h - h w ) |
|
|
|
반시계 방향 플랫 풀리 |
|
D e = D |
|
|
D p = D + 2 (h w - a) |
|
|
D d = D + 2 h w |
풀리 두 개를 사용한 전동의 예
이 예에서는 데이텀 시스템을 사용합니다.
접촉 호
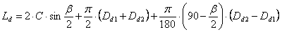
데이텀 벨트 길이
중심 거리
다음 공식은 새로운 구동 중심 거리를 결정할 때 권장됩니다.
0.7 (D d1 + D d2 ) ≤ C ≤ 2(D d1 + D d2 )
사용된 변수의 의미:
|
D W |
공칭 지름(데이텀 또는 유효) [m] |
|
D e |
유효(외부) 풀리 지름 [m] |
|
h w |
공칭 높이(유효 시스템의 경우 h w = 0) [m] |
|
a |
피치 선 간격띄우기(유효 시스템의 경우 음수) [m] |
|
D |
플랫 풀리 공칭 및 외부 지름 [m] |
|
h |
벨트 높이 [m] |
|
D d |
풀리 데이텀 지름 [m] |
|
C |
중심 거리 [m] |
| β |
접촉 호 [도] |
|
L d |
데이텀 벨트 길이 [m] |