이러한 공식은 여러 지지점 및 하중을 사용하여 하나 이상의 단면이 있는 샤프트 또는 하나의 일정 단면이 있는 빔을 해석하는 데 사용됩니다.
샤프트/빔 축은 Z축에 정렬됩니다. 계산에 재질 밀도의 영향이 포함되면 중력 벡터가 Y축에 정렬됩니다.
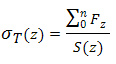
전단력:
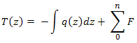
굽힘 모멘트:
처짐 각도:
설명:
|
E |
인장 시 탄성 계수 |
|
|
J |
관성 모멘트 |
|
|
G |
강성 계수 |
|
| β |
전단 변위 비율 |
처짐:
굽힘 응력:
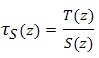
전단 응력:
비틀림 응력:
인장 응력:
감소 응력:
설명:
| σ B | 굽힘 응력 | |
| σ T |
인장 응력 |
|
| τ | 비틀림 응력 | |
| τ S | 전단 응력 | |
| α | HMH의 경우 α = 3 | |
| 트레스카-게스트의 경우 α = 4 |
샘플 계산
탄성 계수 E = 210 000 MPa
강성 계수 G = 81 000 MPa
전단 변위 비율 β=1.118
감소 응력 모드: HMH
재질 밀도가 포함되지 않습니다.
지지력:
최대 전단 응력:
최대 비틀림 응력:
최대 모멘트:
최대 굽힘 응력:
최대 감소 응력:
비틀림 각도: