해석 특성
참조
White, F.M., Fluid Mechanics, McGraw-Hill (1986).
문제 설명
2D 원형 파이프를 분석하여 Autodesk® CFD의 유체 흐름 및 난류 모델링 기능을 확인합니다.
k-
난류 모델이 사용됩니다.
파이프 지름
을 기준으로 한 레이놀즈 수는 14,960입니다.
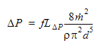
압력 강하
는 입구 아래쪽으로 50m 간격에서 다음 수식으로 측정됩니다.

형상 및 경계 조건

결과
압력 강하에 대한 해석 계산 및 숫자 계산이 비교됩니다. White (1986)의 압력 강하
에 대한 해석 표현식은 다음과 같습니다.

는 Darcy 마찰 계수입니다.
은 질량 흐름입니다.
는
가 측정된 파이프 길이입니다.Darcy 마찰 계수는 다음 Blasius 표현식으로 계산됩니다.

위의 표현식에서 아래 매개변수를 사용하면
=50.0m
=2350 
=14960다음과 같은 결과가 계산됩니다.
| 벤치마크 | 2018: 빌드 20170308 | 오류 비율 | 2019: 빌드 20180130 | 오류 비율 | |
![]() | 4.0e5 Pa | 397477.34 Pa | 0.63 | 397477.34 Pa | 0.63 |