유체를 정의하는 데 필요한 여러 가지 기본 특성이 있습니다. 여러 다른 방법을 사용하여 이러한 특성 대부분이 온도, 압력 또는 스칼라에 따라 달라지도록 설정할 수 있습니다. 다음 표에는 특성 및 사용 가능한 변형 방법이 나와 있습니다.
특성 | 변형 방법 |
밀도 | 상수, 상태 방정식, 다항식, 역 다항식, 아레니우스, 열역학 테이블, 구간 선형 및 습한 가스 실제 가스 효과를 포함하도록 밀도 및 가스 상수를 지정하는 방법은 아래의 주를 참조하십시오. |
점도 (동적 점도) | 상수, Sutherland, 멱법칙, 다항식, 역 다항식, 비뉴턴 멱법칙, Hershel-Buckley, Carreau, 아레니우스, 구간 선형, 열역학 테이블, 1차 다항식, 2차 다항식 |
전도율 | 상수, Sutherland, 멱법칙, 다항식, 역 다항식, 아레니우스, 열역학 테이블, 구간 선형 |
비열 | 상수, 다항식, 역 다항식, 아레니우스, 열역학 테이블, 구간 선형 |
압축성 | Cp/Cv(감마, 비열의 비율) -- 압축성 가스 해석에만 유용합니다. 벌크 계수 -- 압축성 액체 해석에만 유용합니다. 아래의 주를 참조하십시오. |
방사율 이 특성은 복사 해석에 유용합니다. 유체에 지정된 방사율이 접촉하는 벽에 지정됩니다. 솔리드에 지정된 방사율이 접촉하는 유체에 지정된 값을 재지정합니다. | 상수 온도에 따른 구간 선형 변형입니다. (이 특성은 스펙트럼 복사 해석에 유용합니다.) |
| 벽 거칠기 마찰 효과를 포함하여 다양한 거칠기 높이를 시뮬레이션하는 데 유용합니다. | 상수 벽 거칠기 특성에 대해서는 아래의 주를 참조하십시오. |
단계 캐비테이션 시뮬레이션에 사용합니다. | 증기 압력 또는 증기 특성을 포함하는 관련 재료를 지정합니다. |
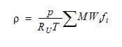
이상 기체 법칙을 사용하면서 실제 가스 효과를 시뮬레이션하려면 유체 재료 편집기의 밀도 특성에서 가스 상수를 실제 가스와 일치하도록 수정합니다. 여러 종류 가스의 경우 다음을 사용하여 밀도를 계산합니다.

여기서 P는 절대 정적 압력이고, Ru는 범용 가스 상수이고, T는 절대 정적 온도이고, MWi는 i 종류의 분자량이고, f i는 i 종류의 몰분율입니다.
이 가스를 Autodesk® CFD에 포함하려면 다음에 따라 유체 재료 편집기에서 가스 상수를 수정합니다.

여기서 RT는 가스 상수 값으로 Autodesk® CFD 창에 입력하는 값입니다.
액체의 벌크 계수 및 밀도는 해당 액체를 통과하는 음속을 결정하는 핵심 요인입니다.
벌크 계수의 정의는 다음과 같습니다.

음속이 지정될 경우 a는 다음과 같이 정의됩니다.

결과적으로 다음과 같이 계산됩니다.

출처: White, F. M., “Fluid Mechanics,” McGraw Hill, New York, New York, 1986.
벌크 계수는 압축성 액체(수격작용) 해석에만 사용됩니다. 재료 데이터베이스에 포함된 액체 재료에 대해서는 벌크 계수 값이 자동으로 설정됩니다. 사용자 정의 재료의 경우 액체 압축성을 해석해야 하는 경우에만 올바른 벌크 계수 값이 필요합니다. 액체 압축성의 예인 수격작용은 다음과 같이 설명됩니다.
물은 직선 파이프를 통해 10in/s 속도로 흐르고 있습니다. 특정 시간에 파이프 끝의 밸브가 갑자기 닫힙니다. 압력 펄스는 물 속에서의 음속으로 이동합니다. 이 현상을 " 수격작용”이라고 하며, 물을 통한 압력파 이동을 예측하기 위해 과도 해석으로 해석됩니다. 이상 가스 법칙 및 비열비를 사용하여 음속을 결정하는 대신, 물의 밀도 및 벌크 계수를 사용합니다.
거칠기 높이의 실제 치수(드롭다운 메뉴에 제공되는 단위 사용)를 입력합니다. 이러한 높이는 일반적으로 매우 작습니다. 예를 들어 주철 파이프는 전형적인 벽 거칠기 높이인 0.0102인치를 갖습니다.
유체에 지정된 벽 거칠기 높이 값은 솔버에 의해 해당 유체에 닿는 젖은 벽에 자동으로 적용됩니다. 솔리드에 지정된 벽 거칠기 높이 값은 부품의 모든 젖은 표면(유체에 닿는 표면)에 적용됩니다. 솔리드에 적용된 0이 아닌 벽 거칠기 높이가 해당 솔리드에 닿는 유체에 적용된 벽 거칠기보다 우선합니다.
벽 거칠기 높이는 난류 벽 모형으로 구현되며 형상에 영향을 주지 않습니다. 벽 거칠기 높이가 적용되려면 흐름이 난류여야 합니다. 층류 흐름의 경우에는 무시됩니다.
지정된 벽 거칠기 높이는 벽의 난류 법칙을 따를 때 가장 잘 작동합니다. 즉, 벽 노드에서 벽 근처 노드까지의 무차원 거리(y+)는 35에서 350 사이여야 합니다. 적절한 Y+ 값이 유지되도록 메쉬 벽 레이어 두께를 자동으로 변경하려면 해석 대화상자에서 적응을 사용으로 설정하고 Y+ 적응을 선택합니다.